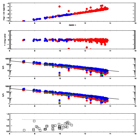
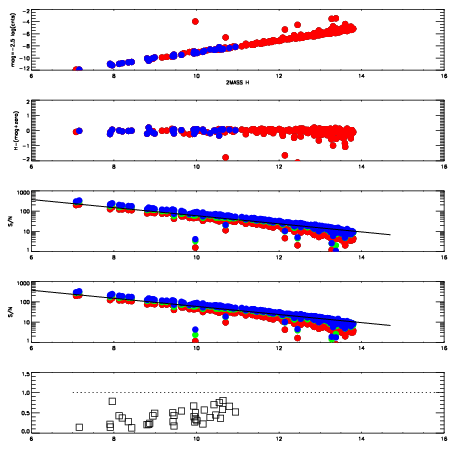
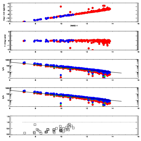
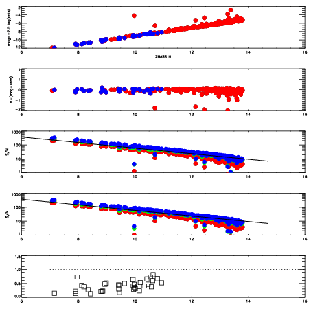
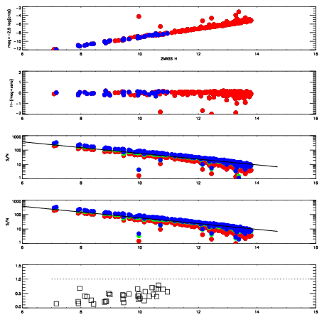
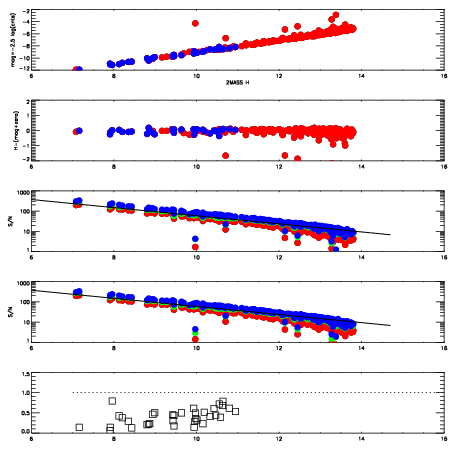
Frame | Nreads | Zeropoints | Mag plots
| Spatial mag deviation
| Spatial sky 16325A emission deviations (filled: sky, open: star)
| Spatial sky continuum emission
| Spatial sky telluric CO2 absorption deviations (filled: H < 10)
|
14970097
| 47
| | Red | Green | Blue
| z | | 19.04
| znorm | | 14.86
| sky | 14.7 | 14.3 | 14.7
| S/N | 15.5 | 25.2 | 27.5
| S/N(c) | 27.1 | 27.6 | 52.7
| SN(E/C) | 0.43
|
|
|
|
|
|
|
14970098
| 47
| | Red | Green | Blue
| z | | 19.05
| znorm | | 14.87
| sky | 14.9 | 14.5 | 14.7
| S/N | 15.6 | 25.3 | 27.3
| S/N(c) | 26.8 | 27.5 | 52.1
| SN(E/C) | 0.41
|
|
|
|
|
|
|
14970099
| 47
| | Red | Green | Blue
| z | | 19.08
| znorm | | 14.90
| sky | 14.7 | 14.6 | 14.8
| S/N | 15.8 | 25.9 | 27.7
| S/N(c) | 27.1 | 27.5 | 52.8
| SN(E/C) | 0.39
|
|
|
|
|
|
|
14970100
| 47
| | Red | Green | Blue
| z | | 19.07
| znorm | | 14.89
| sky | 14.9 | 14.7 | 14.8
| S/N | 15.7 | 25.8 | 27.8
| S/N(c) | 27.0 | 27.6 | 53.1
| SN(E/C) | 0.40
|
|
|
|
|
|
|
14970101
| 47
| | Red | Green | Blue
| z | | 19.09
| znorm | | 14.91
| sky | 15.1 | 14.7 | 14.8
| S/N | 16.0 | 26.2 | 28.1
| S/N(c) | 26.8 | 27.6 | 52.3
| SN(E/C) | 0.40
|
|
|
|
|
|
|
14970102
| 47
| | Red | Green | Blue
| z | | 19.10
| znorm | | 14.92
| sky | 14.7 | 14.7 | 14.8
| S/N | 15.9 | 26.2 | 28.1
| S/N(c) | 27.2 | 28.0 | 53.1
| SN(E/C) | 0.41
|
|
|
|
|
|
|
14970103
| 47
| | Red | Green | Blue
| z | | 19.08
| znorm | | 14.90
| sky | 14.9 | 14.7 | 14.9
| S/N | 15.9 | 25.8 | 27.8
| S/N(c) | 27.1 | 28.0 | 52.4
| SN(E/C) | 0.41
|
|
|
|
|
|
|
14970104
| 47
| | Red | Green | Blue
| z | | 19.06
| znorm | | 14.88
| sky | 15.0 | 14.8 | 14.7
| S/N | 15.7 | 25.9 | 27.5
| S/N(c) | 27.3 | 27.8 | 52.3
| SN(E/C) | 0.41
|
|
|
|
|
|
|
14970105
| 47
| | Red | Green | Blue
| z | | 19.12
| znorm | | 14.94
| sky | 14.7 | 14.6 | 14.8
| S/N | 16.3 | 26.7 | 28.4
| S/N(c) | 27.8 | 28.6 | 53.3
| SN(E/C) | 0.40
|
|
|
|
|
|
|
14970106
| 47
| | Red | Green | Blue
| z | | 19.10
| znorm | | 14.92
| sky | 14.8 | 14.6 | 14.6
| S/N | 16.0 | 26.1 | 28.2
| S/N(c) | 27.5 | 28.4 | 52.5
| SN(E/C) | 0.40
|
|
|
|
|
|
|