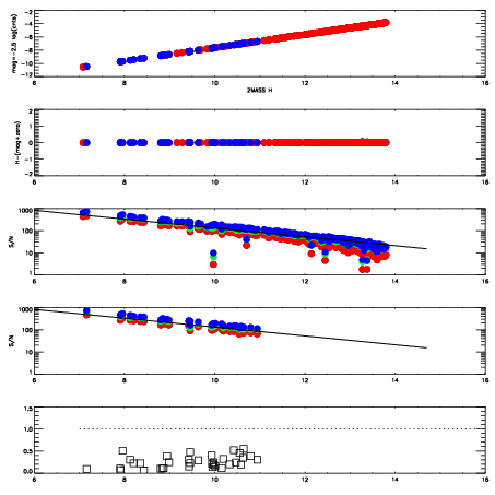
Left plots: red are targets, blue are telluric. Observed mags are calculated from median value of green chip. Zeropoint gives overall throughput: bigger number is more throughput.
First spatial plots: circles are objects, squares are tellurics, crosses are sky fibers. Colors give deviation of observed mag from expected 2MASS mag using the median zeropoint; red is brighter
Second spatial plots: circles are sky fibers. Colors give sky line brightness relative to plate median sky line brightness
FrameNreadsZeropointsMag plots Spatial mag deviation Spatial sky 16325A emission deviations (filled: sky, open: star) Spatial sky continuum emission Spatial sky telluric CO2 absorption deviations (filled: H < 10)
0 0
RedGreenBlue
z17.64
znorm Inf
sky -Inf -Inf -Inf
S/N 30.1 53.4 57.5
S/N(c) 0.0 0.0 0.0
SN(E/C) 0.23

IPAIRNAMESHIFTNEWSHIFTS/N NAMESHIFTNEWSHIFTS/N
0 14970105 0.000690125 0.00000 19.1146 14970106 -0.501092 0.501782 19.0973
1 14970101 -0.00170283 0.00239295 19.0873 14970102 -0.501421 0.502111 19.0874
2 14970100 -0.00205825 0.00274837 19.0682 14970099 -0.502451 0.503141 19.0810
3 14970104 0.000158746 0.000531379 19.0554 14970103 -0.501435 0.502125 19.0772
4 14970097 0.00000 0.000690125 19.0408 14970098 -0.502171 0.502861 19.0581