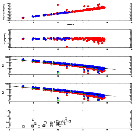
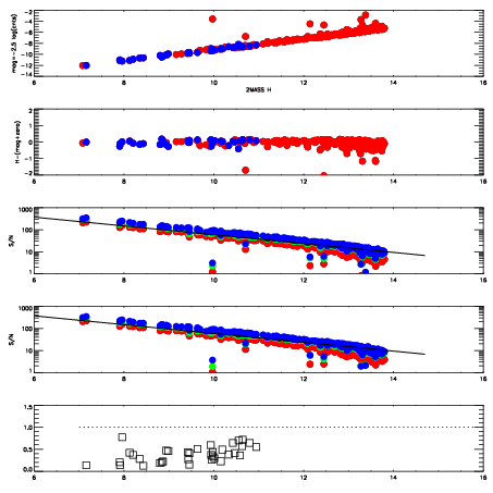
Left plots: red are targets, blue are telluric. Observed mags are calculated from median value of green chip. Zeropoint gives overall throughput: bigger number is more throughput.
First spatial plots: circles are objects, squares are tellurics, crosses are sky fibers. Colors give deviation of observed mag from expected 2MASS mag using the median zeropoint; red is brighter
Second spatial plots: circles are sky fibers. Colors give sky line brightness relative to plate median sky line brightness
FrameNreadsZeropointsMag plots Spatial mag deviation Spatial sky 16325A emission deviations (filled: sky, open: star) Spatial sky continuum emission Spatial sky telluric CO2 absorption deviations (filled: H < 10)
15000070 47
RedGreenBlue
z19.16
znorm14.98
sky 14.7 14.3 14.7
S/N 17.0 27.1 29.7
S/N(c) 29.0 30.6 56.5
SN(E/C) 0.39
15000071 47
RedGreenBlue
z19.16
znorm14.98
sky 14.7 14.5 14.7
S/N 16.8 27.1 29.5
S/N(c) 29.2 30.2 55.6
SN(E/C) 0.38