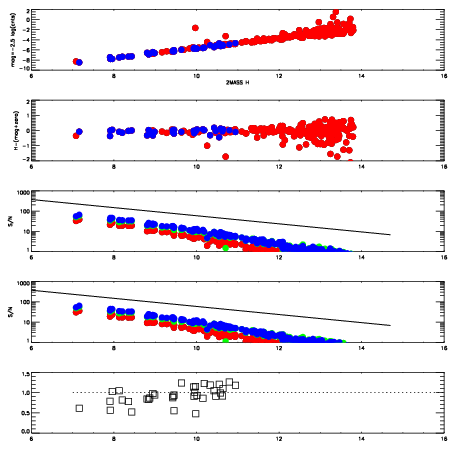
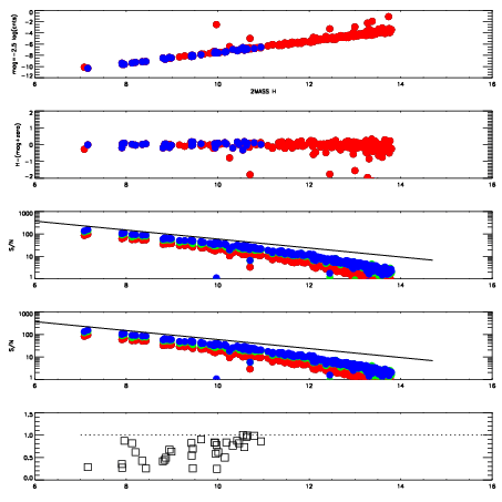
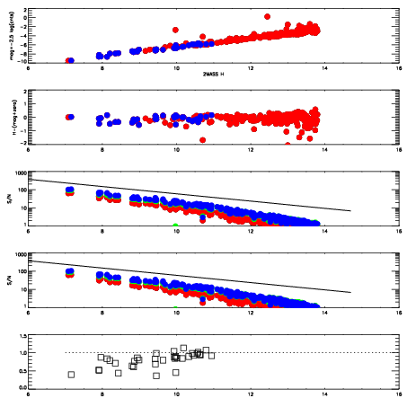
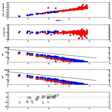
Frame | Nreads | Zeropoints | Mag plots
| Spatial mag deviation
| Spatial sky 16325A emission deviations (filled: sky, open: star)
| Spatial sky continuum emission
| Spatial sky telluric CO2 absorption deviations (filled: H < 10)
|
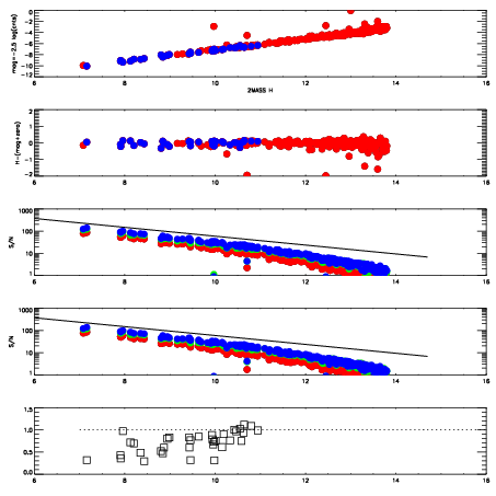
15320026
| 47
| | Red | Green | Blue
| z | | 15.71
| znorm | | 11.53
| sky | 14.1 | 14.0 | 14.1
| S/N | 0.9 | 2.1 | 2.7
| S/N(c) | 1.0 | 3.8 | 3.1
| SN(E/C) | 0.98
|
|
|
|
|
|
|
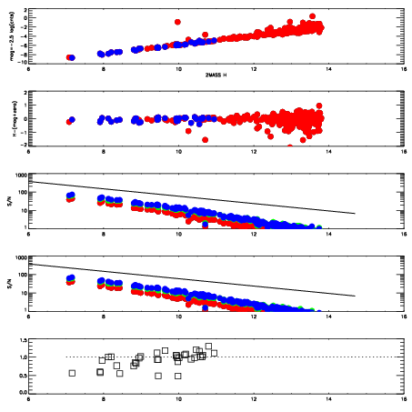
15320027
| 47
| | Red | Green | Blue
| z | | 17.17
| znorm | | 12.99
| sky | 13.8 | 13.8 | 13.9
| S/N | 3.6 | 7.3 | 7.7
| S/N(c) | 3.3 | 10.8 | 9.4
| SN(E/C) | 0.75
|
|
|
|
|
|
|
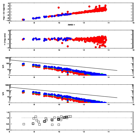
15320028
| 47
| | Red | Green | Blue
| z | | 16.22
| znorm | | 12.04
| sky | 14.1 | 14.1 | 14.2
| S/N | 1.5 | 3.6 | 3.9
| S/N(c) | 1.7 | 5.9 | 5.3
| SN(E/C) | 0.95
|
|
|
|
|
|
|
15320029
| 47
| | Red | Green | Blue
| z | | 16.58
| znorm | | 12.40
| sky | 14.0 | 13.9 | 13.9
| S/N | 1.8 | 3.9 | 4.2
| S/N(c) | 2.0 | 7.3 | 6.2
| SN(E/C) | 0.84
|
|
|
|
|
|
|
15320030
| 47
| | Red | Green | Blue
| z | | 15.69
| znorm | | 11.51
| sky | 13.8 | 13.8 | 13.7
| S/N | 0.9 | 2.0 | 2.0
| S/N(c) | 0.9 | 3.3 | 2.9
| SN(E/C) | 0.93
|
|
|
|
|
|
|
15320031
| 47
| | Red | Green | Blue
| z | | 15.91
| znorm | | 11.73
| sky | 13.7 | 13.6 | 13.6
| S/N | 1.0 | 2.2 | 2.5
| S/N(c) | 1.1 | 4.0 | 3.5
| SN(E/C) | 0.98
|
|
|
|
|
|
|
15320032
| 47
| | Red | Green | Blue
| z | | 16.18
| znorm | | 12.00
| sky | 13.9 | 13.8 | 13.8
| S/N | 1.3 | 3.2 | 3.4
| S/N(c) | 1.5 | 5.4 | 4.7
| SN(E/C) | 0.87
|
|
|
|
|
|
|
15320033
| 47
| | Red | Green | Blue
| z | | 17.47
| znorm | | 13.29
| sky | 13.9 | 13.9 | 13.8
| S/N | 4.6 | 9.1 | 9.6
| S/N(c) | 4.0 | 12.2 | 11.2
| SN(E/C) | 0.69
|
|
|
|
|
|
|