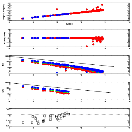
Left plots: red are targets, blue are telluric. Observed mags are calculated from median value of green chip. Zeropoint gives overall throughput: bigger number is more throughput.
First spatial plots: circles are objects, squares are tellurics, crosses are sky fibers. Colors give deviation of observed mag from expected 2MASS mag using the median zeropoint; red is brighter
Second spatial plots: circles are sky fibers. Colors give sky line brightness relative to plate median sky line brightness
FrameNreadsZeropointsMag plots Spatial mag deviation Spatial sky 16325A emission deviations (filled: sky, open: star) Spatial sky continuum emission Spatial sky telluric CO2 absorption deviations (filled: H < 10)
0 0
RedGreenBlue
z17.65
znorm Inf
sky -Inf -Inf -Inf
S/N 4.2 8.5 9.5
S/N(c) 0.0 0.0 0.0
SN(E/C) 0.76

IPAIRNAMESHIFTNEWSHIFTS/N NAMESHIFTNEWSHIFTS/N
0 15320032 0.496326 0.00000 16.2029 15320026 0.00000 0.496326 15.7971
1 15320027 0.494627 0.00169900 17.1798 15320033 0.00219203 0.494134 17.4717
2 15320028 0.496176 0.000149995 16.2196 15320029 0.00123921 0.495087 16.5609
3 15320031 0.495765 0.000560999 15.9013 15320030 0.00196217 0.494364 15.6895