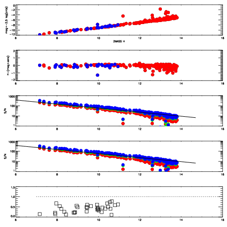
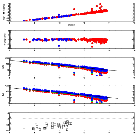
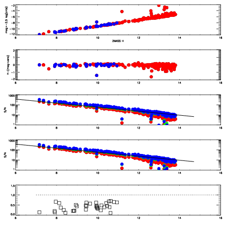
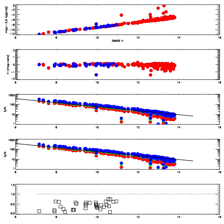
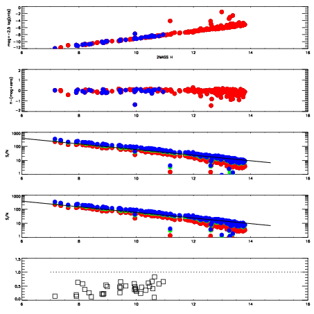
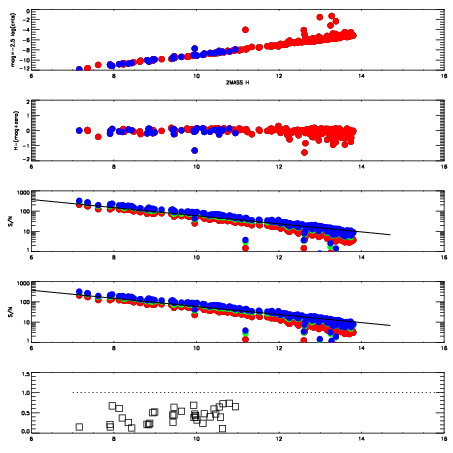
Left plots: red are targets, blue are telluric. Observed mags are calculated from median value of green chip. Zeropoint gives overall throughput: bigger number is more throughput.
First spatial plots: circles are objects, squares are tellurics, crosses are sky fibers. Colors give deviation of observed mag from expected 2MASS mag using the median zeropoint; red is brighter
Second spatial plots: circles are sky fibers. Colors give sky line brightness relative to plate median sky line brightness
FrameNreadsZeropointsMag plots Spatial mag deviation Spatial sky 16325A emission deviations (filled: sky, open: star) Spatial sky continuum emission Spatial sky telluric CO2 absorption deviations (filled: H < 10)
14980082 47
RedGreenBlue
z19.00
znorm14.82
sky 14.5 14.3 14.6
S/N 15.6 26.1 27.8
S/N(c) 27.0 57.9 24.4
SN(E/C) 0.42
14980083 47
RedGreenBlue
z18.99
znorm14.81
sky 14.6 14.4 14.6
S/N 15.4 25.5 28.1
S/N(c) 26.0 58.2 24.4
SN(E/C) 0.43
14980084 47
RedGreenBlue
z19.07
znorm14.89
sky 14.7 14.5 14.7
S/N 15.8 26.7 28.5
S/N(c) 27.3 60.2 24.9
SN(E/C) 0.41
14980085 47
RedGreenBlue
z19.05
znorm14.87
sky 14.7 14.6 14.7
S/N 15.5 26.3 28.3
S/N(c) 26.8 59.9 24.8
SN(E/C) 0.44
14980086 47
RedGreenBlue
z19.09
znorm14.91
sky 14.7 14.6 14.8
S/N 16.0 26.9 29.1
S/N(c) 27.5 61.4 25.4
SN(E/C) 0.41
14980087 47
RedGreenBlue
z19.09
znorm14.91
sky 14.9 14.7 14.8
S/N 16.1 27.1 29.2
S/N(c) 27.2 61.2 25.3
SN(E/C) 0.42