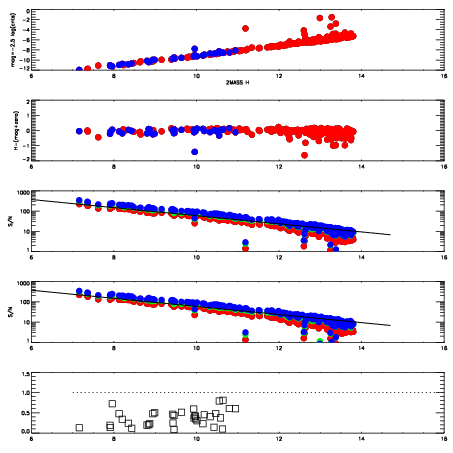
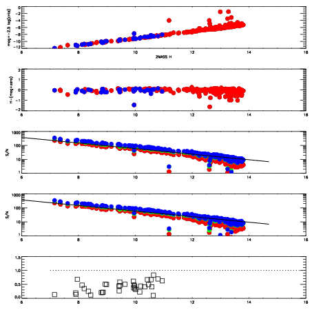
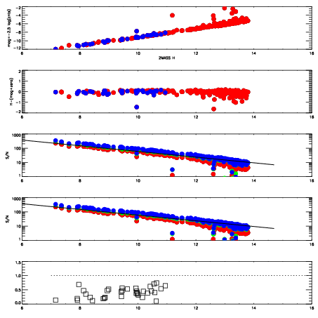
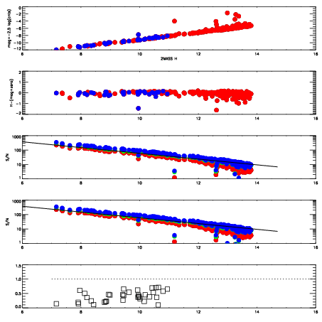
Frame | Nreads | Zeropoints | Mag plots
| Spatial mag deviation
| Spatial sky 16325A emission deviations (filled: sky, open: star)
| Spatial sky continuum emission
| Spatial sky telluric CO2 absorption deviations (filled: H < 10)
|
15010057
| 47
| | Red | Green | Blue
| z | | 19.14
| znorm | | 14.96
| sky | 14.7 | 14.3 | 14.4
| S/N | 16.7 | 26.9 | 29.1
| S/N(c) | 28.3 | 62.1 | 25.8
| SN(E/C) | 0.41
|
|
|
|
|
|
|
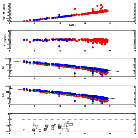
15010058
| 47
| | Red | Green | Blue
| z | | 19.13
| znorm | | 14.95
| sky | 14.5 | 14.3 | 14.4
| S/N | 17.3 | 27.7 | 29.5
| S/N(c) | 28.0 | 62.0 | 25.7
| SN(E/C) | 0.39
|
|
|
|
|
|
|
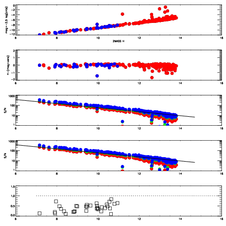
15010059
| 47
| | Red | Green | Blue
| z | | 19.15
| znorm | | 14.97
| sky | 14.7 | 14.4 | 14.5
| S/N | 16.7 | 27.7 | 29.3
| S/N(c) | 28.1 | 62.3 | 25.7
| SN(E/C) | 0.43
|
|
|
|
|
|
|
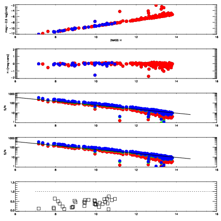
15010060
| 47
| | Red | Green | Blue
| z | | 19.14
| znorm | | 14.96
| sky | 14.6 | 14.4 | 14.4
| S/N | 16.7 | 27.8 | 29.5
| S/N(c) | 28.1 | 62.3 | 25.8
| SN(E/C) | 0.37
|
|
|
|
|
|
|
15010061
| 47
| | Red | Green | Blue
| z | | 19.15
| znorm | | 14.96
| sky | 14.7 | 14.4 | 14.4
| S/N | 16.6 | 27.5 | 29.3
| S/N(c) | 28.1 | 62.9 | 25.9
| SN(E/C) | 0.39
|
|
|
|
|
|
|
15010062
| 47
| | Red | Green | Blue
| z | | 19.16
| znorm | | 14.98
| sky | 14.8 | 14.5 | 14.4
| S/N | 17.1 | 27.9 | 29.5
| S/N(c) | 27.9 | 62.8 | 25.9
| SN(E/C) | 0.40
|
|
|
|
|
|
|
15010063
| 47
| | Red | Green | Blue
| z | | 19.17
| znorm | | 14.99
| sky | 14.8 | 14.4 | 14.4
| S/N | 17.2 | 28.1 | 29.6
| S/N(c) | 28.1 | 63.1 | 26.1
| SN(E/C) | 0.38
|
|
|
|
|
|
|
15010064
| 47
| | Red | Green | Blue
| z | | 19.18
| znorm | | 15.00
| sky | 14.6 | 14.6 | 14.5
| S/N | 17.0 | 28.2 | 29.6
| S/N(c) | 28.2 | 63.6 | 26.3
| SN(E/C) | 0.40
|
|
|
|
|
|
|