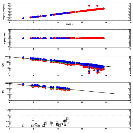
Left plots: red are targets, blue are telluric. Observed mags are calculated from median value of green chip. Zeropoint gives overall throughput: bigger number is more throughput.
First spatial plots: circles are objects, squares are tellurics, crosses are sky fibers. Colors give deviation of observed mag from expected 2MASS mag using the median zeropoint; red is brighter
Second spatial plots: circles are sky fibers. Colors give sky line brightness relative to plate median sky line brightness
FrameNreadsZeropointsMag plots Spatial mag deviation Spatial sky 16325A emission deviations (filled: sky, open: star) Spatial sky continuum emission Spatial sky telluric CO2 absorption deviations (filled: H < 10)
0 0
RedGreenBlue
z17.64
znorm Inf
sky -Inf -Inf -NaN
S/N 25.8 40.7 50.6
S/N(c) 0.0 0.0 0.0
SN(E/C) 0.25

IPAIRNAMESHIFTNEWSHIFTS/N NAMESHIFTNEWSHIFTS/N
0 15520072 0.491469 0.00000 18.8451 15520074 0.000419389 0.491050 18.9016
1 15520076 0.490378 0.00109100 19.0067 15520077 -0.000742337 0.492211 18.9721
2 15520075 0.489729 0.00174001 18.9073 15520070 0.00000 0.491469 18.9357
3 15520071 0.491131 0.000337988 18.8657 15520073 -5.33008e-05 0.491522 18.9282