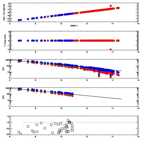
Left plots: red are targets, blue are telluric. Observed mags are calculated from median value of green chip. Zeropoint gives overall throughput: bigger number is more throughput.
First spatial plots: circles are objects, squares are tellurics, crosses are sky fibers. Colors give deviation of observed mag from expected 2MASS mag using the median zeropoint; red is brighter
Second spatial plots: circles are sky fibers. Colors give sky line brightness relative to plate median sky line brightness
FrameNreadsZeropointsMag plots Spatial mag deviation Spatial sky 16325A emission deviations (filled: sky, open: star) Spatial sky continuum emission Spatial sky telluric CO2 absorption deviations (filled: H < 10)
0 0
RedGreenBlue
z17.64
znorm Inf
sky -NaN -NaN -NaN
S/N 26.7 47.2 50.0
S/N(c) 40.4 10.8 24.0
SN(E/C) 0.52

IPAIRNAMESHIFTNEWSHIFTS/N NAMESHIFTNEWSHIFTS/N
0 15290053 0.504524 0.00000 18.9643 15290055 0.000219186 0.504305 18.9605
1 15290057 0.503846 0.000678003 19.0696 15290058 0.000897920 0.503626 18.9612
2 15290056 0.503633 0.000890970 18.9615 15290054 2.40618e-05 0.504500 18.8728
3 15290060 0.503559 0.000964999 18.9426 15290051 0.00000 0.504524 18.8369
4 15290052 0.503661 0.000863016 18.9281 15290059 0.000440042 0.504084 18.8361