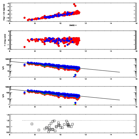
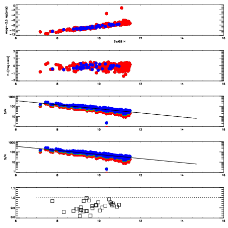
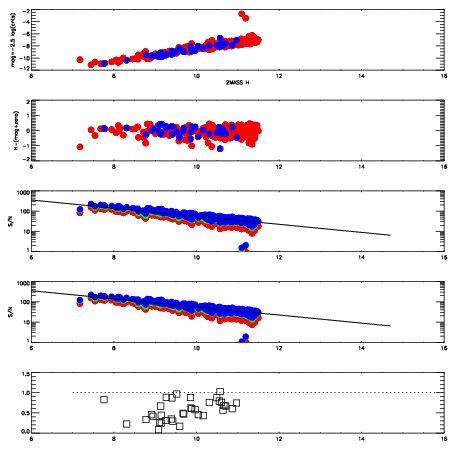
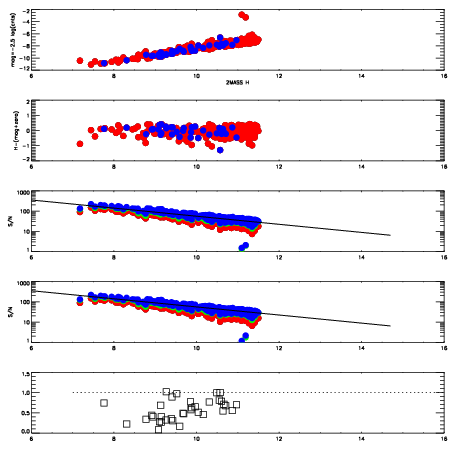
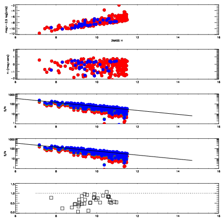
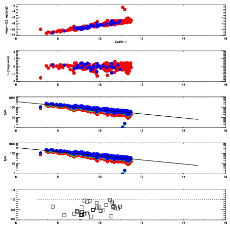
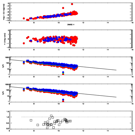
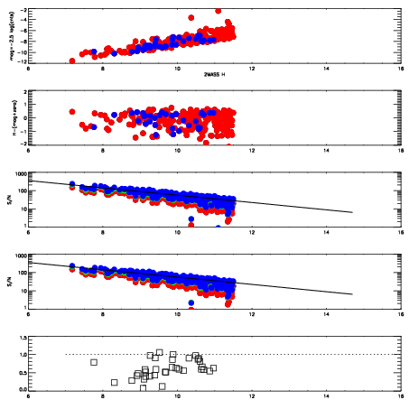
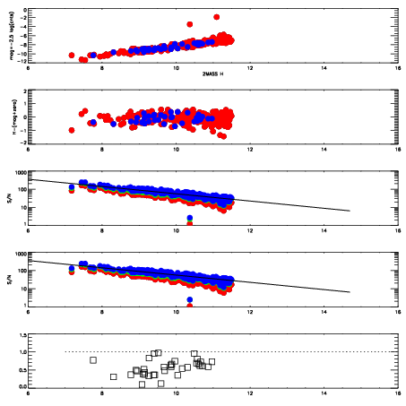
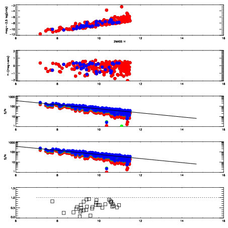
Frame | Nreads | Zeropoints | Mag plots
| Spatial mag deviation
| Spatial sky 16325A emission deviations (filled: sky, open: star)
| Spatial sky continuum emission
| Spatial sky telluric CO2 absorption deviations (filled: H < 10)
|
16070055
| 42
| | Red | Green | Blue
| z | | 18.48
| znorm | | 14.42
| sky | 14.7 | 14.5 | 14.8
| S/N | 12.3 | 20.2 | 23.2
| S/N(c) | 5.8 | 12.3 | 6.9
| SN(E/C) | 0.60
|
|
|
|
|
|
|
16070056
| 42
| | Red | Green | Blue
| z | | 18.47
| znorm | | 14.41
| sky | 14.7 | 14.8 | 14.8
| S/N | 12.4 | 20.2 | 22.9
| S/N(c) | 5.8 | 12.1 | 6.8
| SN(E/C) | 0.58
|
|
|
|
|
|
|
16070057
| 42
| | Red | Green | Blue
| z | | 18.37
| znorm | | 14.31
| sky | 14.9 | 15.0 | 15.3
| S/N | 8.3 | 15.4 | 16.4
| S/N(c) | 5.3 | 11.7 | 6.2
| SN(E/C) | 0.59
|
|
|
|
|
|
|
16070058
| 42
| | Red | Green | Blue
| z | | 18.29
| znorm | | 14.23
| sky | 15.3 | 15.1 | 15.1
| S/N | 7.8 | 14.5 | 15.3
| S/N(c) | 5.0 | 11.1 | 5.8
| SN(E/C) | 0.59
|
|
|
|
|
|
|
16070059
| 42
| | Red | Green | Blue
| z | | 18.63
| znorm | | 14.57
| sky | 14.7 | 14.9 | 15.0
| S/N | 12.9 | 21.2 | 24.1
| S/N(c) | 6.4 | 13.2 | 7.2
| SN(E/C) | 0.55
|
|
|
|
|
|
|
16070060
| 42
| | Red | Green | Blue
| z | | 18.65
| znorm | | 14.59
| sky | 14.9 | 15.0 | 15.0
| S/N | 13.2 | 21.8 | 24.1
| S/N(c) | 6.4 | 13.4 | 7.4
| SN(E/C) | 0.53
|
|
|
|
|
|
|
16070061
| 42
| | Red | Green | Blue
| z | | 18.62
| znorm | | 14.56
| sky | 14.9 | 15.0 | 15.1
| S/N | 13.1 | 20.9 | 24.5
| S/N(c) | 6.3 | 13.4 | 7.3
| SN(E/C) | 0.58
|
|
|
|
|
|
|
16070062
| 42
| | Red | Green | Blue
| z | | 18.53
| znorm | | 14.47
| sky | 15.1 | 15.1 | 15.4
| S/N | 12.2 | 20.2 | 23.2
| S/N(c) | 5.9 | 12.7 | 6.9
| SN(E/C) | 0.54
|
|
|
|
|
|
|
16070063
| 42
| | Red | Green | Blue
| z | | 18.18
| znorm | | 14.12
| sky | 15.0 | 15.4 | 15.4
| S/N | 7.5 | 14.0 | 14.7
| S/N(c) | 4.5 | 10.1 | 5.4
| SN(E/C) | 0.57
|
|
|
|
|
|
|
16070064
| 42
| | Red | Green | Blue
| z | | 18.13
| znorm | | 14.07
| sky | 15.1 | 15.1 | 15.5
| S/N | 7.1 | 13.7 | 14.5
| S/N(c) | 4.5 | 9.9 | 5.3
| SN(E/C) | 0.64
|
|
|
|
|
|
|
16070065
| 42
| | Red | Green | Blue
| z | | 18.51
| znorm | | 14.45
| sky | 15.0 | 15.0 | 15.1
| S/N | 11.8 | 20.3 | 21.9
| S/N(c) | 5.9 | 12.4 | 6.7
| SN(E/C) | 0.58
|
|
|
|
|
|
|
16070066
| 42
| | Red | Green | Blue
| z | | 18.49
| znorm | | 14.43
| sky | 15.1 | 15.0 | 15.1
| S/N | 11.5 | 19.9 | 21.2
| S/N(c) | 5.7 | 12.2 | 6.6
| SN(E/C) | 0.56
|
|
|
|
|
|
|