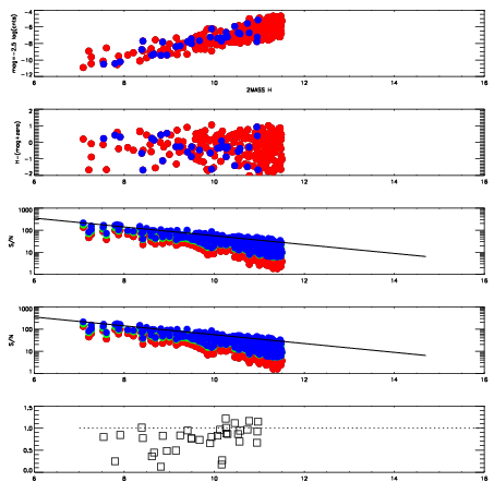
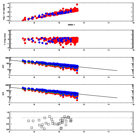
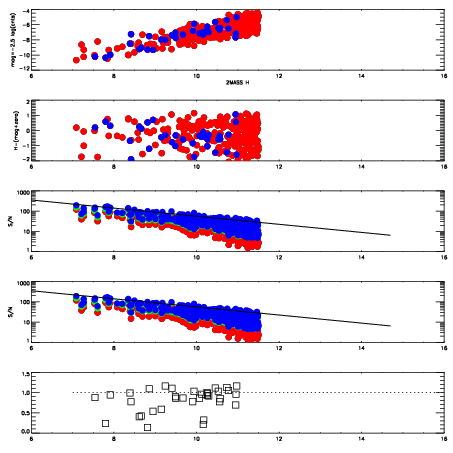
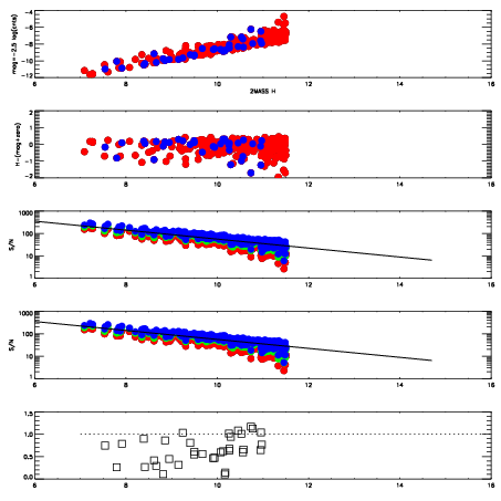
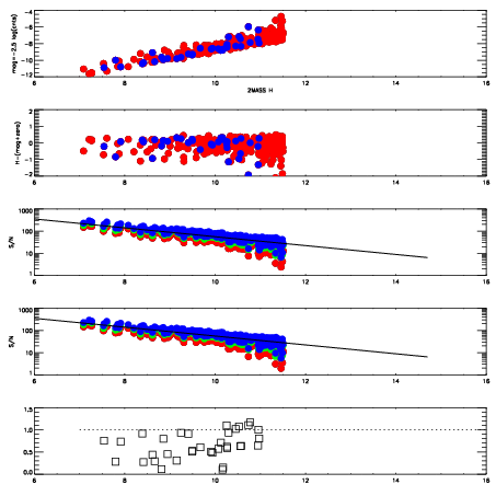
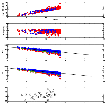
Left plots: red are targets, blue are telluric. Observed mags are calculated from median value of green chip. Zeropoint gives overall throughput: bigger number is more throughput.
First spatial plots: circles are objects, squares are tellurics, crosses are sky fibers. Colors give deviation of observed mag from expected 2MASS mag using the median zeropoint; red is brighter
Second spatial plots: circles are sky fibers. Colors give sky line brightness relative to plate median sky line brightness
FrameNreadsZeropointsMag plots Spatial mag deviation Spatial sky 16325A emission deviations (filled: sky, open: star) Spatial sky continuum emission Spatial sky telluric CO2 absorption deviations (filled: H < 10)
20140028 42
RedGreenBlue
z18.63
znorm14.58
sky 14.3 14.5 14.8
S/N 12.8 21.0 24.7
S/N(c) 10.0 14.5 5.6
SN(E/C) 0.63
20140029 42
RedGreenBlue
z18.68
znorm14.62
sky 14.6 14.7 14.9
S/N 13.2 21.5 25.2
S/N(c) 10.1 14.7 5.9
SN(E/C) 0.63
20140030 42
RedGreenBlue
z18.77
znorm14.71
sky 14.6 14.7 15.0
S/N 12.1 20.9 23.9
S/N(c) 10.1 14.6 5.9
SN(E/C) 0.66
20140031 42
RedGreenBlue
z18.68
znorm14.62
sky 14.5 14.6 15.0
S/N 11.6 20.0 22.9
S/N(c) 9.9 14.4 5.7
SN(E/C) 0.68
20140032 42
RedGreenBlue
z17.80
znorm13.74
sky 14.4 14.8 15.1
S/N 6.1 12.2 13.2
S/N(c) 5.6 9.1 3.6
SN(E/C) 0.82
20140033 42
RedGreenBlue
z17.57
znorm13.51
sky 15.0 15.0 15.0
S/N 5.1 10.4 11.6
S/N(c) 4.7 7.8 3.1
SN(E/C) 0.89