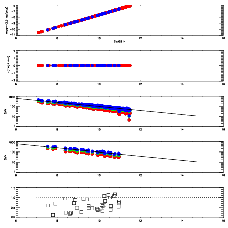
Left plots: red are targets, blue are telluric. Observed mags are calculated from median value of green chip. Zeropoint gives overall throughput: bigger number is more throughput.
First spatial plots: circles are objects, squares are tellurics, crosses are sky fibers. Colors give deviation of observed mag from expected 2MASS mag using the median zeropoint; red is brighter
Second spatial plots: circles are sky fibers. Colors give sky line brightness relative to plate median sky line brightness
FrameNreadsZeropointsMag plots Spatial mag deviation Spatial sky 16325A emission deviations (filled: sky, open: star) Spatial sky continuum emission Spatial sky telluric CO2 absorption deviations (filled: H < 10)
0 0
RedGreenBlue
z17.64
znorm Inf
sky -Inf -Inf -NaN
S/N 17.6 30.2 34.8
S/N(c) 0.0 0.0 0.0
SN(E/C) 0.58

IPAIRNAMESHIFTNEWSHIFTS/N NAMESHIFTNEWSHIFTS/N
0 20140033 0.506581 0.00000 17.3044 20140032 0.0100041 0.496577 17.6016
1 20140030 0.504446 0.00213498 18.6996 20140031 0.00967486 0.496906 18.6234
2 20140029 0.501725 0.00485599 18.6352 20140028 0.00000 0.506581 18.5874