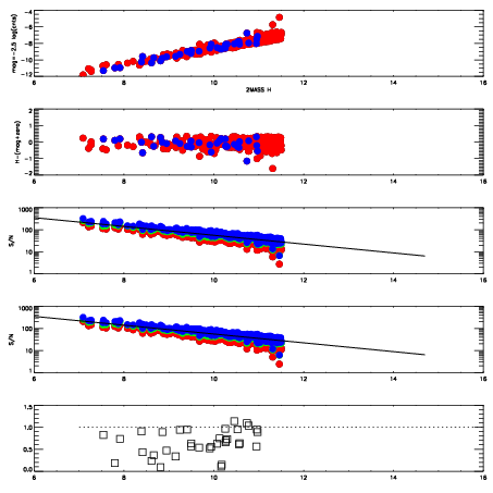
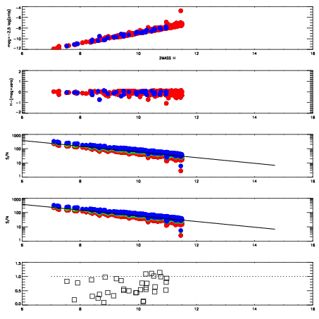
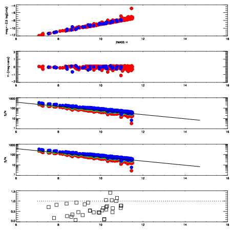
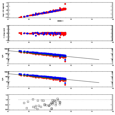
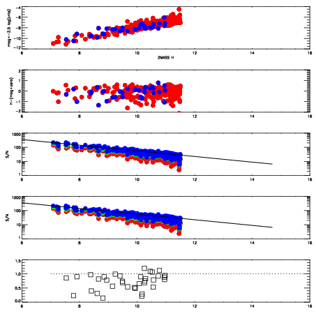
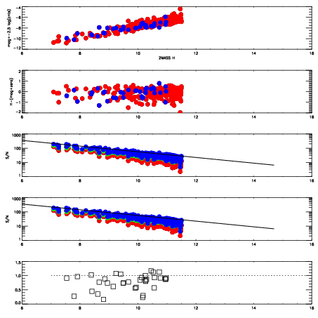
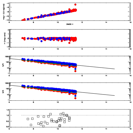
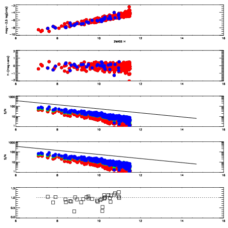
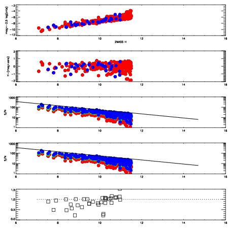
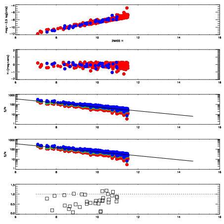
Frame | Nreads | Zeropoints | Mag plots
| Spatial mag deviation
| Spatial sky 16325A emission deviations (filled: sky, open: star)
| Spatial sky continuum emission
| Spatial sky telluric CO2 absorption deviations (filled: H < 10)
|
20160011
| 47
| | Red | Green | Blue
| z | | 18.93
| znorm | | 14.75
| sky | 14.1 | 14.0 | 13.9
| S/N | 15.5 | 23.7 | 27.5
| S/N(c) | 12.2 | 16.5 | 6.6
| SN(E/C) | 0.55
|
|
|
|
|
|
|
20160012
| 47
| | Red | Green | Blue
| z | | 18.93
| znorm | | 14.75
| sky | 14.1 | 14.1 | 14.2
| S/N | 15.1 | 23.5 | 27.6
| S/N(c) | 12.0 | 16.6 | 6.6
| SN(E/C) | 0.60
|
|
|
|
|
|
|
20160013
| 47
| | Red | Green | Blue
| z | | 18.97
| znorm | | 14.79
| sky | 14.3 | 14.3 | 14.2
| S/N | 15.4 | 24.1 | 28.1
| S/N(c) | 12.3 | 16.8 | 6.8
| SN(E/C) | 0.66
|
|
|
|
|
|
|
20160014
| 47
| | Red | Green | Blue
| z | | 19.01
| znorm | | 14.83
| sky | 14.2 | 14.2 | 14.3
| S/N | 15.8 | 24.5 | 28.7
| S/N(c) | 12.5 | 17.2 | 6.9
| SN(E/C) | 0.56
|
|
|
|
|
|
|
20160015
| 42
| | Red | Green | Blue
| z | | 18.08
| znorm | | 14.02
| sky | 14.3 | 14.2 | 14.3
| S/N | 8.4 | 14.9 | 16.9
| S/N(c) | 7.0 | 10.8 | 4.3
| SN(E/C) | 0.78
|
|
|
|
|
|
|
20160016
| 42
| | Red | Green | Blue
| z | | 17.86
| znorm | | 13.80
| sky | 14.2 | 14.4 | 14.4
| S/N | 6.8 | 12.6 | 14.7
| S/N(c) | 6.0 | 9.4 | 3.7
| SN(E/C) | 0.84
|
|
|
|
|
|
|
20160017
| 42
| | Red | Green | Blue
| z | | 18.64
| znorm | | 14.58
| sky | 14.4 | 14.4 | 14.5
| S/N | 12.5 | 20.7 | 23.6
| S/N(c) | 10.1 | 14.5 | 5.7
| SN(E/C) | 0.66
|
|
|
|
|
|
|
20160018
| 42
| | Red | Green | Blue
| z | | 18.66
| znorm | | 14.60
| sky | 14.2 | 14.5 | 14.5
| S/N | 12.8 | 21.2 | 24.0
| S/N(c) | 10.3 | 14.7 | 5.8
| SN(E/C) | 0.63
|
|
|
|
|
|
|
20160019
| 42
| | Red | Green | Blue
| z | | 17.27
| znorm | | 13.21
| sky | 14.4 | 14.5 | 14.6
| S/N | 4.3 | 8.9 | 9.8
| S/N(c) | 4.1 | 7.1 | 2.8
| SN(E/C) | 0.89
|
|
|
|
|
|
|
20160020
| 42
| | Red | Green | Blue
| z | | 16.03
| znorm | | 11.97
| sky | 14.3 | 14.5 | 14.6
| S/N | 1.4 | 3.9 | 3.9
| S/N(c) | 1.3 | 2.9 | 1.0
| SN(E/C) | 0.95
|
|
|
|
|
|
|