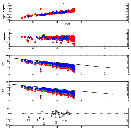
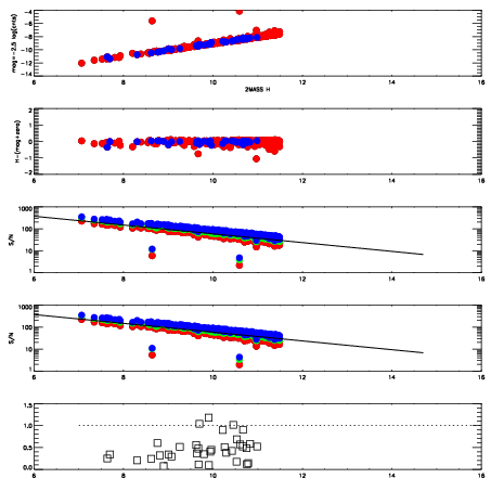
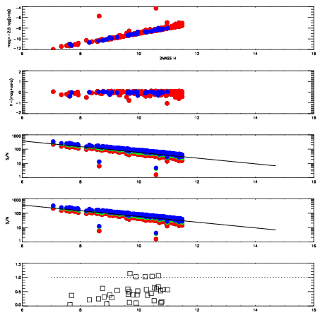
Left plots: red are targets, blue are telluric. Observed mags are calculated from median value of green chip. Zeropoint gives overall throughput: bigger number is more throughput.
First spatial plots: circles are objects, squares are tellurics, crosses are sky fibers. Colors give deviation of observed mag from expected 2MASS mag using the median zeropoint; red is brighter
Second spatial plots: circles are sky fibers. Colors give sky line brightness relative to plate median sky line brightness
FrameNreadsZeropointsMag plots Spatial mag deviation Spatial sky 16325A emission deviations (filled: sky, open: star) Spatial sky continuum emission Spatial sky telluric CO2 absorption deviations (filled: H < 10)
17170013 47
RedGreenBlue
z19.07
znorm14.89
sky 14.3 14.3 14.1
S/N 16.8 25.6 30.3
S/N(c) 18.1 18.4 19.4
SN(E/C) 0.42
17170014 47
RedGreenBlue
z18.98
znorm14.80
sky 14.3 14.3 14.2
S/N 15.6 24.7 28.8
S/N(c) 17.0 17.5 18.5
SN(E/C) 0.44
17170015 42
RedGreenBlue
z17.02
znorm12.97
sky 14.4 14.2 14.4
S/N 3.7 7.8 8.7
S/N(c) 4.5 5.9 6.2
SN(E/C) 0.85
17170016 42
RedGreenBlue
z13.66
znorm 9.60
sky 14.3 14.7 15.1
S/N 0.1 0.6 0.4
S/N(c) 0.0 0.0 0.0
SN(E/C) 2.06