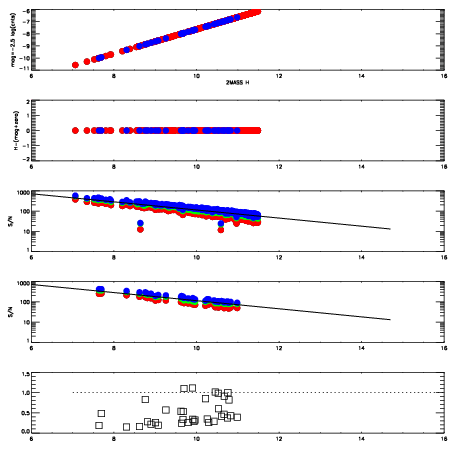
Left plots: red are targets, blue are telluric. Observed mags are calculated from median value of green chip. Zeropoint gives overall throughput: bigger number is more throughput.
First spatial plots: circles are objects, squares are tellurics, crosses are sky fibers. Colors give deviation of observed mag from expected 2MASS mag using the median zeropoint; red is brighter
Second spatial plots: circles are sky fibers. Colors give sky line brightness relative to plate median sky line brightness
FrameNreadsZeropointsMag plots Spatial mag deviation Spatial sky 16325A emission deviations (filled: sky, open: star) Spatial sky continuum emission Spatial sky telluric CO2 absorption deviations (filled: H < 10)
0 0
RedGreenBlue
z17.64
znorm Inf
sky -NaN -Inf -NaN
S/N 25.4 40.6 47.4
S/N(c) 0.0 0.0 0.0
SN(E/C) 0.39

IPAIRNAMESHIFTNEWSHIFTS/N NAMESHIFTNEWSHIFTS/N
0 17180018 0.488784 0.00000 17.6219 17180019 0.0139599 0.474824 17.5216
1 17180013 0.481447 0.00733697 19.2163 17180012 0.00000 0.488784 19.2063
2 17180014 0.483925 0.00485897 18.7593 17180015 0.00416381 0.484620 18.7795
3 17180017 0.486611 0.00217298 18.6098 17180016 0.00570661 0.483077 18.6268