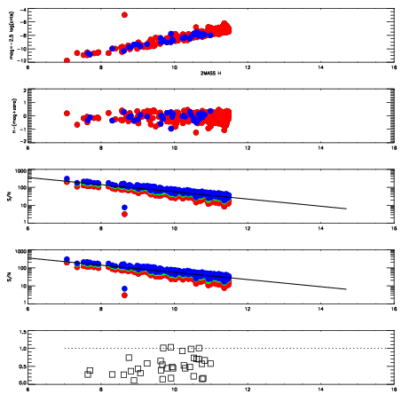
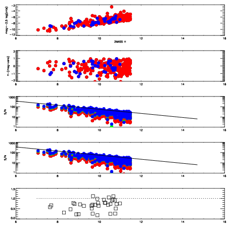
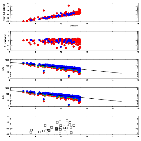
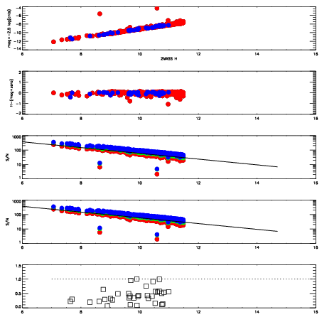
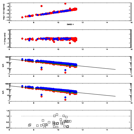
Frame | Nreads | Zeropoints | Mag plots
| Spatial mag deviation
| Spatial sky 16325A emission deviations (filled: sky, open: star)
| Spatial sky continuum emission
| Spatial sky telluric CO2 absorption deviations (filled: H < 10)
|
17210011
| 47
| | Red | Green | Blue
| z | | 19.17
| znorm | | 14.99
| sky | 14.1 | 14.1 | 13.9
| S/N | 18.3 | 27.5 | 32.2
| S/N(c) | 19.1 | 19.3 | 20.3
| SN(E/C) | 0.40
|
|
|
|
|
|
|
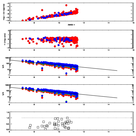
17210012
| 47
| | Red | Green | Blue
| z | | 19.20
| znorm | | 15.02
| sky | 14.3 | 14.2 | 14.1
| S/N | 18.5 | 27.7 | 32.4
| S/N(c) | 19.2 | 19.5 | 20.5
| SN(E/C) | 0.40
|
|
|
|
|
|
|
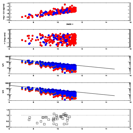
17210013
| 42
| | Red | Green | Blue
| z | | 18.76
| znorm | | 14.70
| sky | 14.2 | 14.3 | 14.3
| S/N | 13.1 | 21.7 | 24.6
| S/N(c) | 14.3 | 15.5 | 16.2
| SN(E/C) | 0.44
|
|
|
|
|
|
|
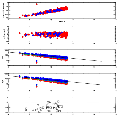
17210014
| 42
| | Red | Green | Blue
| z | | 18.72
| znorm | | 14.67
| sky | 14.4 | 14.4 | 14.3
| S/N | 12.8 | 21.3 | 24.4
| S/N(c) | 13.9 | 15.2 | 15.8
| SN(E/C) | 0.51
|
|
|
|
|
|
|
17210015
| 42
| | Red | Green | Blue
| z | | 18.63
| znorm | | 14.57
| sky | 14.6 | 14.4 | 14.4
| S/N | 13.2 | 21.0 | 24.9
| S/N(c) | 13.3 | 14.4 | 15.0
| SN(E/C) | 0.48
|
|
|
|
|
|
|
17210016
| 42
| | Red | Green | Blue
| z | | 18.59
| znorm | | 14.54
| sky | 14.6 | 14.5 | 14.5
| S/N | 13.2 | 20.8 | 24.8
| S/N(c) | 13.3 | 14.2 | 14.8
| SN(E/C) | 0.45
|
|
|
|
|
|
|
17210017
| 42
| | Red | Green | Blue
| z | | 17.59
| znorm | | 13.53
| sky | 14.5 | 14.7 | 14.7
| S/N | 5.9 | 11.5 | 12.5
| S/N(c) | 6.5 | 8.2 | 8.2
| SN(E/C) | 0.69
|
|
|
|
|
|
|
17210018
| 42
| | Red | Green | Blue
| z | | 17.44
| znorm | | 13.38
| sky | 14.6 | 14.6 | 14.5
| S/N | 5.4 | 10.3 | 11.3
| S/N(c) | 6.1 | 7.4 | 7.6
| SN(E/C) | 0.81
|
|
|
|
|
|
|