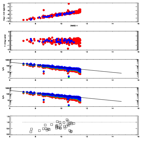
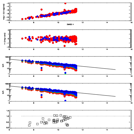
Left plots: red are targets, blue are telluric. Observed mags are calculated from median value of green chip. Zeropoint gives overall throughput: bigger number is more throughput.
First spatial plots: circles are objects, squares are tellurics, crosses are sky fibers. Colors give deviation of observed mag from expected 2MASS mag using the median zeropoint; red is brighter
Second spatial plots: circles are sky fibers. Colors give sky line brightness relative to plate median sky line brightness
FrameNreadsZeropointsMag plots Spatial mag deviation Spatial sky 16325A emission deviations (filled: sky, open: star) Spatial sky continuum emission Spatial sky telluric CO2 absorption deviations (filled: H < 10)
18920031 42
RedGreenBlue
z18.11
znorm14.05
sky 15.1 14.8 15.1
S/N 9.3 16.0 18.1
S/N(c) 10.4 12.1 12.0
SN(E/C) 0.67
18920032 42
RedGreenBlue
z18.11
znorm14.06
sky 15.2 15.0 15.2
S/N 8.6 15.9 18.2
S/N(c) 10.3 12.0 12.1
SN(E/C) 0.61