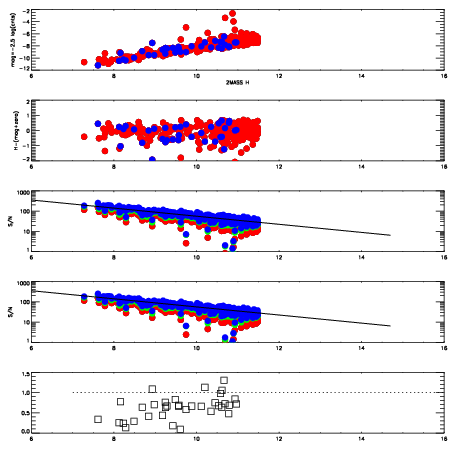
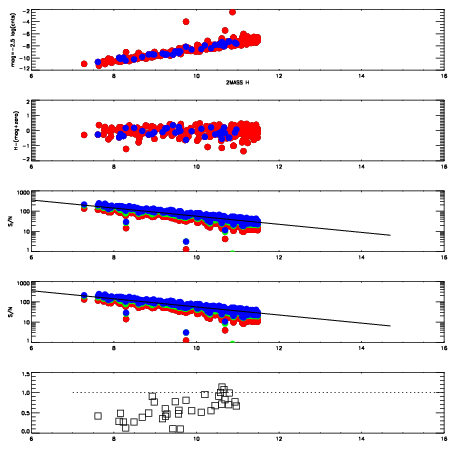
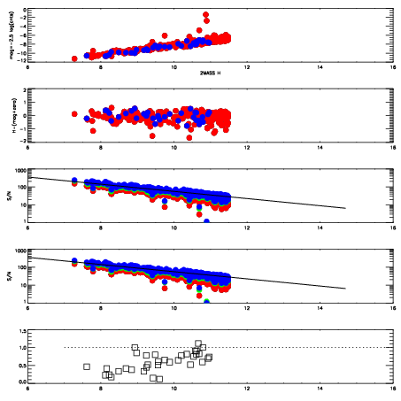
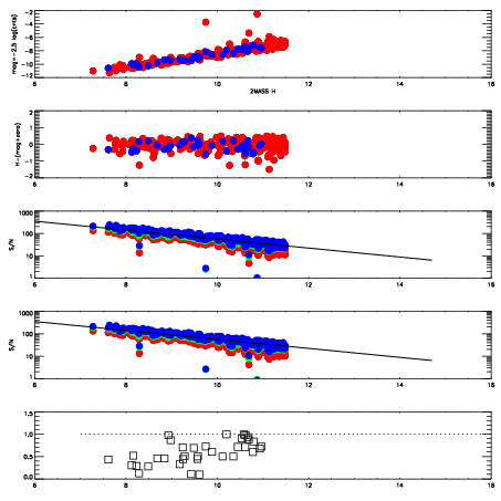
Left plots: red are targets, blue are telluric. Observed mags are calculated from median value of green chip. Zeropoint gives overall throughput: bigger number is more throughput.
First spatial plots: circles are objects, squares are tellurics, crosses are sky fibers. Colors give deviation of observed mag from expected 2MASS mag using the median zeropoint; red is brighter
Second spatial plots: circles are sky fibers. Colors give sky line brightness relative to plate median sky line brightness
FrameNreadsZeropointsMag plots Spatial mag deviation Spatial sky 16325A emission deviations (filled: sky, open: star) Spatial sky continuum emission Spatial sky telluric CO2 absorption deviations (filled: H < 10)
20140037 42
RedGreenBlue
z18.26
znorm14.20
sky 14.2 14.3 14.6
S/N 9.1 15.6 18.9
S/N(c) 11.2 9.7 9.6
SN(E/C) 0.66
20140038 42
RedGreenBlue
z18.36
znorm14.30
sky 14.5 14.5 14.6
S/N 9.6 16.6 19.7
S/N(c) 11.6 10.1 9.9
SN(E/C) 0.66
20140039 42
RedGreenBlue
z18.45
znorm14.39
sky 14.4 14.4 14.7
S/N 10.7 18.0 20.8
S/N(c) 12.1 10.3 10.2
SN(E/C) 0.59
20140040 42
RedGreenBlue
z18.40
znorm14.34
sky 14.6 14.5 14.7
S/N 10.3 18.0 20.3
S/N(c) 11.7 9.9 9.8
SN(E/C) 0.61
20140041 42
RedGreenBlue
z18.53
znorm14.47
sky 14.4 14.6 14.6
S/N 11.0 19.2 21.6
S/N(c) 12.1 10.2 10.4
SN(E/C) 0.56
20140042 42
RedGreenBlue
z18.52
znorm14.46
sky 14.6 14.5 14.6
S/N 10.9 19.1 21.6
S/N(c) 12.1 10.3 10.3
SN(E/C) 0.60