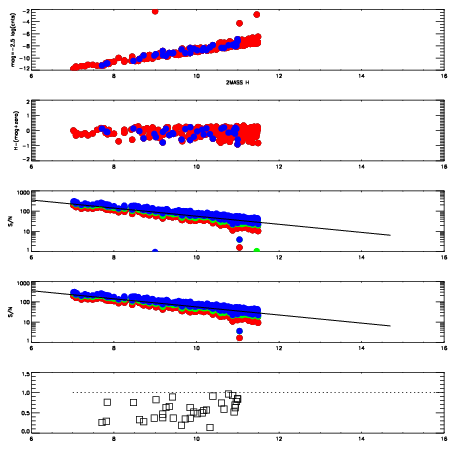
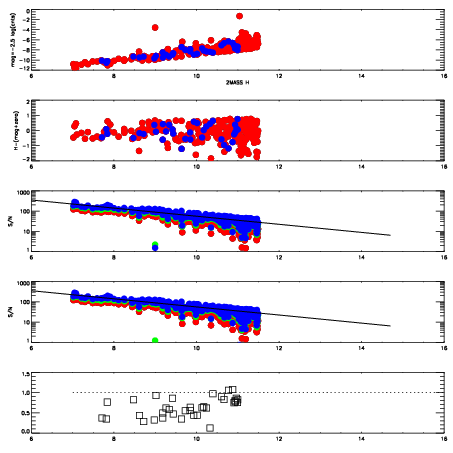
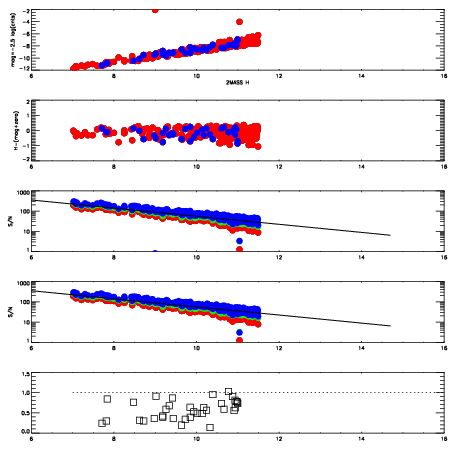
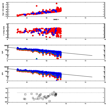
Left plots: red are targets, blue are telluric. Observed mags are calculated from median value of green chip. Zeropoint gives overall throughput: bigger number is more throughput.
First spatial plots: circles are objects, squares are tellurics, crosses are sky fibers. Colors give deviation of observed mag from expected 2MASS mag using the median zeropoint; red is brighter
Second spatial plots: circles are sky fibers. Colors give sky line brightness relative to plate median sky line brightness
FrameNreadsZeropointsMag plots Spatial mag deviation Spatial sky 16325A emission deviations (filled: sky, open: star) Spatial sky continuum emission Spatial sky telluric CO2 absorption deviations (filled: H < 10)
19900062 42
RedGreenBlue
z18.80
znorm14.75
sky 14.6 14.4 14.7
S/N 14.2 22.8 26.1
S/N(c) 21.0 23.2 7.6
SN(E/C) 0.57
19900063 42
RedGreenBlue
z18.78
znorm14.72
sky 14.7 14.5 14.8
S/N 13.6 22.3 25.2
S/N(c) 20.7 23.1 7.5
SN(E/C) 0.58
19900064 42
RedGreenBlue
z18.27
znorm14.22
sky 14.8 14.7 15.0
S/N 9.6 17.3 19.3
S/N(c) 15.8 18.9 6.1
SN(E/C) 0.63
19900065 42
RedGreenBlue
z18.30
znorm14.24
sky 14.4 14.5 14.8
S/N 9.8 17.4 19.5
S/N(c) 15.9 19.0 6.1
SN(E/C) 0.65