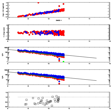
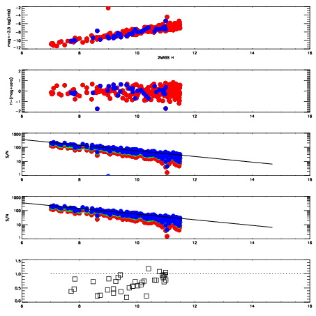
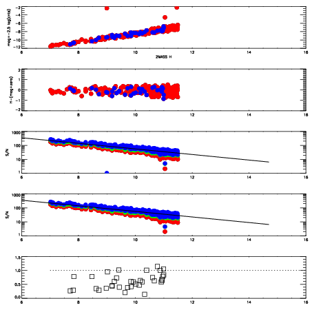
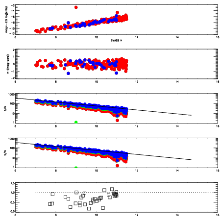
Left plots: red are targets, blue are telluric. Observed mags are calculated from median value of green chip. Zeropoint gives overall throughput: bigger number is more throughput.
First spatial plots: circles are objects, squares are tellurics, crosses are sky fibers. Colors give deviation of observed mag from expected 2MASS mag using the median zeropoint; red is brighter
Second spatial plots: circles are sky fibers. Colors give sky line brightness relative to plate median sky line brightness
FrameNreadsZeropointsMag plots Spatial mag deviation Spatial sky 16325A emission deviations (filled: sky, open: star) Spatial sky continuum emission Spatial sky telluric CO2 absorption deviations (filled: H < 10)
19910060 42
RedGreenBlue
z18.01
znorm13.95
sky 14.4 14.3 14.5
S/N 7.5 13.5 15.6
S/N(c) 12.7 15.3 5.0
SN(E/C) 0.72
19910061 42
RedGreenBlue
z17.96
znorm13.90
sky 14.5 14.6 14.7
S/N 7.6 13.7 15.6
S/N(c) 12.0 14.8 4.8
SN(E/C) 0.74
19910062 42
RedGreenBlue
z18.66
znorm14.61
sky 14.6 14.4 14.5
S/N 12.9 21.1 23.9
S/N(c) 19.3 21.8 7.1
SN(E/C) 0.58
19910063 42
RedGreenBlue
z18.59
znorm14.53
sky 14.7 14.5 14.5
S/N 12.6 20.3 23.1
S/N(c) 18.9 21.3 6.9
SN(E/C) 0.60