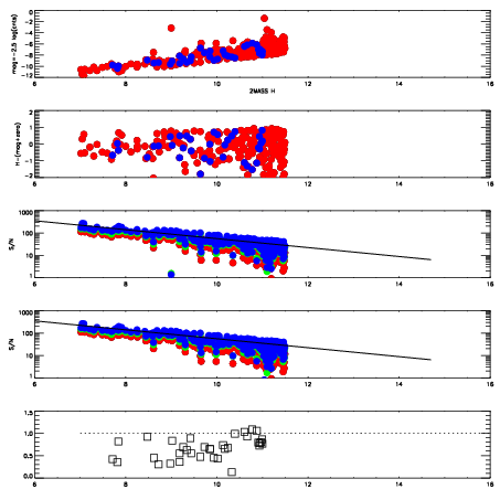
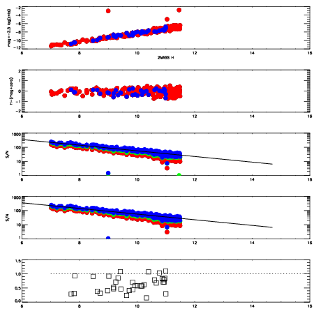
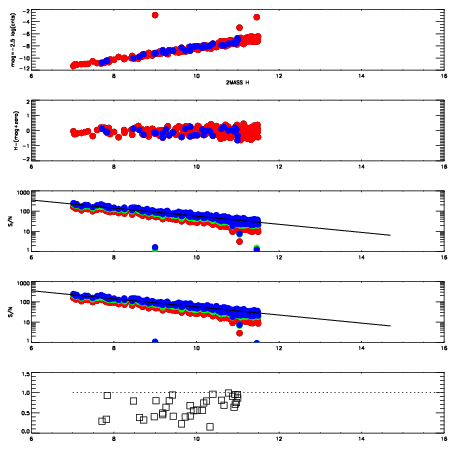
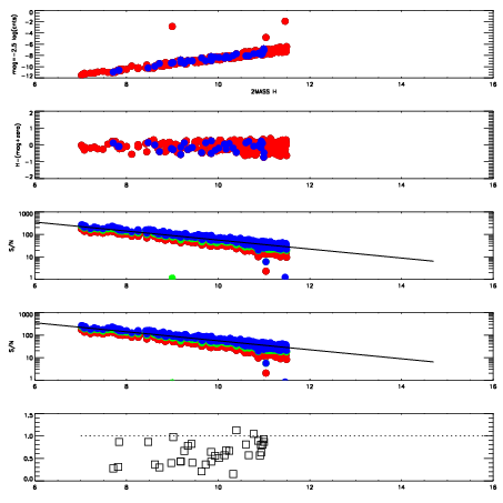
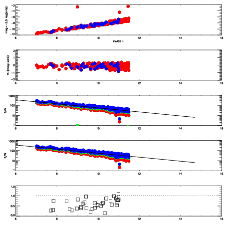
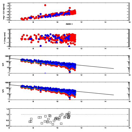
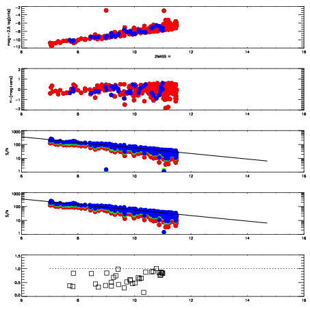
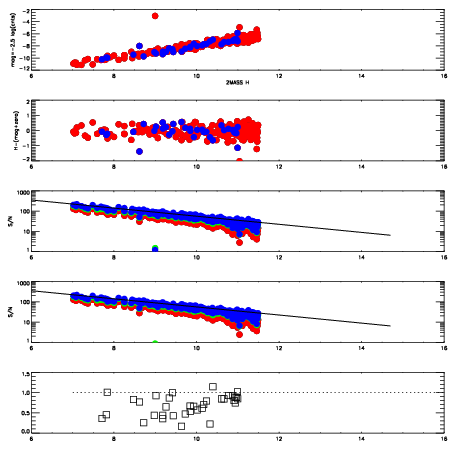
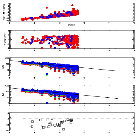
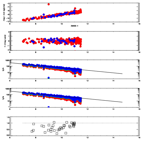
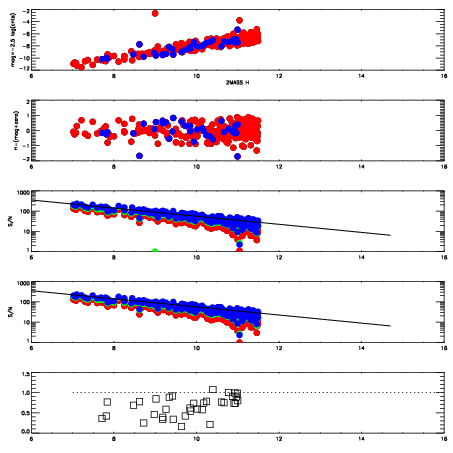
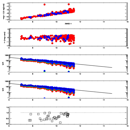
Frame | Nreads | Zeropoints | Mag plots
| Spatial mag deviation
| Spatial sky 16325A emission deviations (filled: sky, open: star)
| Spatial sky continuum emission
| Spatial sky telluric CO2 absorption deviations (filled: H < 10)
|
19920058
| 42
| | Red | Green | Blue
| z | | 18.23
| znorm | | 14.17
| sky | 14.5 | 14.5 | 14.6
| S/N | 9.3 | 16.7 | 18.5
| S/N(c) | 15.5 | 18.2 | 6.0
| SN(E/C) | 0.67
|
|
|
|
|
|
|
19920059
| 42
| | Red | Green | Blue
| z | | 18.16
| znorm | | 14.10
| sky | 14.4 | 14.6 | 14.9
| S/N | 8.6 | 15.6 | 17.4
| S/N(c) | 15.1 | 17.9 | 5.9
| SN(E/C) | 0.69
|
|
|
|
|
|
|
19920060
| 42
| | Red | Green | Blue
| z | | 18.05
| znorm | | 13.99
| sky | 14.8 | 14.8 | 15.2
| S/N | 7.5 | 14.1 | 16.1
| S/N(c) | 13.2 | 15.9 | 5.3
| SN(E/C) | 0.71
|
|
|
|
|
|
|
19920061
| 42
| | Red | Green | Blue
| z | | 18.04
| znorm | | 13.98
| sky | 14.8 | 14.9 | 15.0
| S/N | 8.0 | 14.4 | 16.5
| S/N(c) | 13.4 | 16.2 | 5.2
| SN(E/C) | 0.73
|
|
|
|
|
|
|
19920062
| 42
| | Red | Green | Blue
| z | | 18.64
| znorm | | 14.58
| sky | 14.7 | 14.8 | 14.8
| S/N | 12.9 | 21.2 | 23.7
| S/N(c) | 19.2 | 21.4 | 6.9
| SN(E/C) | 0.59
|
|
|
|
|
|
|
19920063
| 42
| | Red | Green | Blue
| z | | 18.55
| znorm | | 14.49
| sky | 14.6 | 14.8 | 14.8
| S/N | 12.2 | 20.2 | 22.5
| S/N(c) | 18.4 | 20.5 | 6.7
| SN(E/C) | 0.63
|
|
|
|
|
|
|
19920064
| 42
| | Red | Green | Blue
| z | | 18.18
| znorm | | 14.13
| sky | 14.5 | 14.8 | 14.9
| S/N | 9.4 | 16.9 | 19.0
| S/N(c) | 13.8 | 17.1 | 5.6
| SN(E/C) | 0.68
|
|
|
|
|
|
|
19920065
| 42
| | Red | Green | Blue
| z | | 18.19
| znorm | | 14.13
| sky | 14.5 | 14.8 | 14.8
| S/N | 9.7 | 17.7 | 19.0
| S/N(c) | 14.1 | 17.0 | 5.5
| SN(E/C) | 0.66
|
|
|
|
|
|
|
19920066
| 42
| | Red | Green | Blue
| z | | 18.01
| znorm | | 13.95
| sky | 14.7 | 14.8 | 15.1
| S/N | 8.0 | 14.4 | 16.5
| S/N(c) | 12.5 | 15.0 | 4.9
| SN(E/C) | 0.74
|
|
|
|
|
|
|
19920067
| 42
| | Red | Green | Blue
| z | | 18.06
| znorm | | 14.00
| sky | 14.8 | 14.6 | 14.9
| S/N | 8.4 | 15.1 | 17.3
| S/N(c) | 12.8 | 15.7 | 5.0
| SN(E/C) | 0.72
|
|
|
|
|
|
|
19920068
| 42
| | Red | Green | Blue
| z | | 18.38
| znorm | | 14.32
| sky | 14.4 | 14.7 | 14.8
| S/N | 10.7 | 18.2 | 20.6
| S/N(c) | 16.1 | 18.4 | 6.0
| SN(E/C) | 0.68
|
|
|
|
|
|
|
19920069
| 42
| | Red | Green | Blue
| z | | 18.39
| znorm | | 14.33
| sky | 14.7 | 14.8 | 14.6
| S/N | 10.8 | 18.3 | 20.7
| S/N(c) | 16.2 | 18.5 | 6.1
| SN(E/C) | 0.62
|
|
|
|
|
|
|