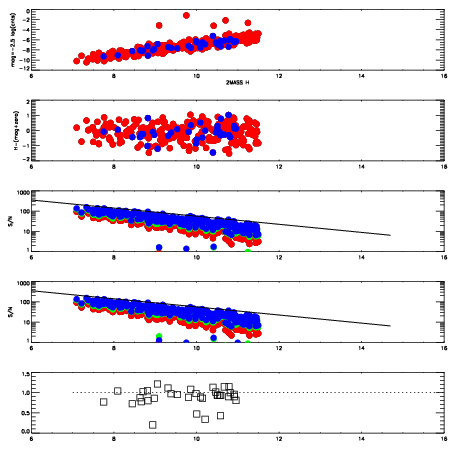
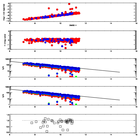
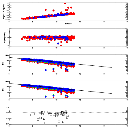
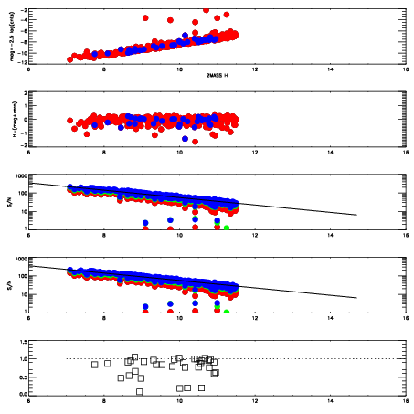
Left plots: red are targets, blue are telluric. Observed mags are calculated from median value of green chip. Zeropoint gives overall throughput: bigger number is more throughput.
First spatial plots: circles are objects, squares are tellurics, crosses are sky fibers. Colors give deviation of observed mag from expected 2MASS mag using the median zeropoint; red is brighter
Second spatial plots: circles are sky fibers. Colors give sky line brightness relative to plate median sky line brightness
FrameNreadsZeropointsMag plots Spatial mag deviation Spatial sky 16325A emission deviations (filled: sky, open: star) Spatial sky continuum emission Spatial sky telluric CO2 absorption deviations (filled: H < 10)
20060026 42
RedGreenBlue
z17.10
znorm13.04
sky 14.7 14.4 14.5
S/N 3.8 7.4 8.6
S/N(c) 6.3 5.9 4.2
SN(E/C) 0.92
20060027 42
RedGreenBlue
z17.37
znorm13.31
sky 14.9 14.7 14.7
S/N 4.1 8.1 9.4
S/N(c) 7.3 6.8 5.0
SN(E/C) 0.98
20060028 42
RedGreenBlue
z17.62
znorm13.56
sky 14.5 14.6 14.7
S/N 6.2 11.4 13.0
S/N(c) 8.1 7.4 5.4
SN(E/C) 0.91
20060029 42
RedGreenBlue
z18.37
znorm14.32
sky 14.2 14.4 14.4
S/N 10.7 17.8 20.6
S/N(c) 12.3 10.6 7.7
SN(E/C) 0.87
20060030 42
RedGreenBlue
z18.18
znorm14.12
sky 14.6 14.5 14.6
S/N 9.5 16.1 18.9
S/N(c) 11.4 9.8 7.3
SN(E/C) 0.87
20060031 42
RedGreenBlue
z17.98
znorm13.93
sky 14.3 14.3 14.5
S/N 8.2 14.5 16.6
S/N(c) 10.1 8.9 6.5
SN(E/C) 0.92