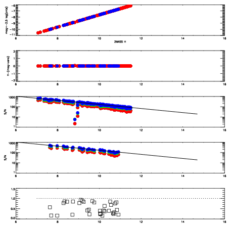
Left plots: red are targets, blue are telluric. Observed mags are calculated from median value of green chip. Zeropoint gives overall throughput: bigger number is more throughput.
First spatial plots: circles are objects, squares are tellurics, crosses are sky fibers. Colors give deviation of observed mag from expected 2MASS mag using the median zeropoint; red is brighter
Second spatial plots: circles are sky fibers. Colors give sky line brightness relative to plate median sky line brightness
FrameNreadsZeropointsMag plots Spatial mag deviation Spatial sky 16325A emission deviations (filled: sky, open: star) Spatial sky continuum emission Spatial sky telluric CO2 absorption deviations (filled: H < 10)
0 0
RedGreenBlue
z17.64
znorm Inf
sky -Inf -Inf -NaN
S/N 30.8 54.7 59.7
S/N(c) 0.0 0.0 0.0
SN(E/C) 0.44

IPAIRNAMESHIFTNEWSHIFTS/N NAMESHIFTNEWSHIFTS/N
0 16060053 0.00162422 0.00000 18.2273 16060054 -0.484068 0.485692 18.1685
1 16060057 0.00117181 0.000452410 18.6240 16060058 -0.485009 0.486633 18.6244
2 16060056 -0.000378767 0.00200299 18.4645 16060055 -0.485605 0.487229 18.5076
3 16060052 0.00107913 0.000545090 18.4296 16060063 -0.485470 0.487094 18.4674
4 16060061 0.00112378 0.000500440 18.4270 16060051 -0.483907 0.485531 18.4389
5 16060064 0.00139446 0.000229760 18.4025 16060062 -0.486063 0.487687 18.4129
6 16060049 0.00000 0.00162422 18.3474 16060050 -0.484513 0.486137 18.4064
7 16060060 0.00128601 0.000338210 17.8945 16060059 -0.485421 0.487045 17.9751
8 16060065 0.00148240 0.000141820 17.6603 16060066 -0.485491 0.487115 17.5726