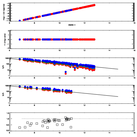
Left plots: red are targets, blue are telluric. Observed mags are calculated from median value of green chip. Zeropoint gives overall throughput: bigger number is more throughput.
First spatial plots: circles are objects, squares are tellurics, crosses are sky fibers. Colors give deviation of observed mag from expected 2MASS mag using the median zeropoint; red is brighter
Second spatial plots: circles are sky fibers. Colors give sky line brightness relative to plate median sky line brightness
FrameNreadsZeropointsMag plots Spatial mag deviation Spatial sky 16325A emission deviations (filled: sky, open: star) Spatial sky continuum emission Spatial sky telluric CO2 absorption deviations (filled: H < 10)
0 0
RedGreenBlue
z17.64
znorm Inf
sky -Inf -Inf -Inf
S/N 33.5 55.4 62.1
S/N(c) 0.0 0.0 0.0
SN(E/C) 0.82

IPAIRNAMESHIFTNEWSHIFTS/N NAMESHIFTNEWSHIFTS/N
0 19950056 0.501348 0.00000 19.0875 19950057 0.00189422 0.499454 19.1091
1 19950052 0.499023 0.00232503 19.1526 19950050 0.00000 0.501348 19.1364
2 19950051 0.498371 0.00297701 19.1451 19950053 0.00352085 0.497827 19.1304
3 19950055 0.500677 0.000671029 19.0926 19950054 0.00326329 0.498085 19.1091