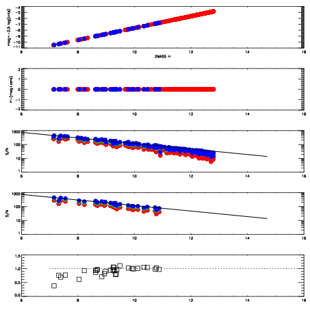
Left plots: red are targets, blue are telluric. Observed mags are calculated from median value of green chip. Zeropoint gives overall throughput: bigger number is more throughput.
First spatial plots: circles are objects, squares are tellurics, crosses are sky fibers. Colors give deviation of observed mag from expected 2MASS mag using the median zeropoint; red is brighter
Second spatial plots: circles are sky fibers. Colors give sky line brightness relative to plate median sky line brightness
FrameNreadsZeropointsMag plots Spatial mag deviation Spatial sky 16325A emission deviations (filled: sky, open: star) Spatial sky continuum emission Spatial sky telluric CO2 absorption deviations (filled: H < 10)
0 0
RedGreenBlue
z17.64
znorm Inf
sky -Inf -Inf -Inf
S/N 19.3 33.4 36.1
S/N(c) 0.0 0.0 0.0
SN(E/C) 0.94

IPAIRNAMESHIFTNEWSHIFTS/N NAMESHIFTNEWSHIFTS/N
0 16160051 0.494823 0.00000 16.2940 16160052 0.00280701 0.492016 14.9754
1 16160050 0.492538 0.00228500 18.8408 16160049 0.000952209 0.493871 18.9373
2 16160047 0.492922 0.00190100 18.7145 16160045 0.00000 0.494823 18.8223
3 16160046 0.493086 0.00173700 18.1225 16160048 0.00126708 0.493556 18.6935