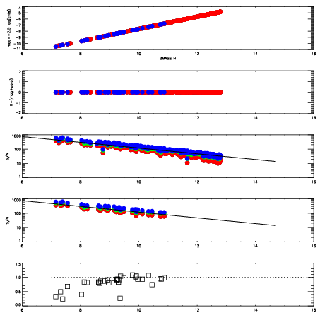
Left plots: red are targets, blue are telluric. Observed mags are calculated from median value of green chip. Zeropoint gives overall throughput: bigger number is more throughput.
First spatial plots: circles are objects, squares are tellurics, crosses are sky fibers. Colors give deviation of observed mag from expected 2MASS mag using the median zeropoint; red is brighter
Second spatial plots: circles are sky fibers. Colors give sky line brightness relative to plate median sky line brightness
FrameNreadsZeropointsMag plots Spatial mag deviation Spatial sky 16325A emission deviations (filled: sky, open: star) Spatial sky continuum emission Spatial sky telluric CO2 absorption deviations (filled: H < 10)
0 0
RedGreenBlue
z17.64
znorm Inf
sky -Inf -Inf -Inf
S/N 29.8 47.8 52.9
S/N(c) 0.0 0.0 0.0
SN(E/C) 0.89

IPAIRNAMESHIFTNEWSHIFTS/N NAMESHIFTNEWSHIFTS/N
0 19740071 0.00101423 0.00000 18.9885 19740070 -0.495862 0.496876 18.9136
1 19740067 0.000168908 0.000845322 19.0466 19740066 -0.495969 0.496983 19.0389
2 19740064 0.00000 0.00101423 19.0037 19740065 -0.496329 0.497343 19.0070
3 19740068 0.000402045 0.000612185 18.9653 19740069 -0.495764 0.496778 18.8349