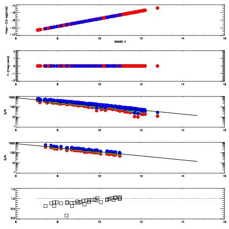
Left plots: red are targets, blue are telluric. Observed mags are calculated from median value of green chip. Zeropoint gives overall throughput: bigger number is more throughput.
First spatial plots: circles are objects, squares are tellurics, crosses are sky fibers. Colors give deviation of observed mag from expected 2MASS mag using the median zeropoint; red is brighter
Second spatial plots: circles are sky fibers. Colors give sky line brightness relative to plate median sky line brightness
FrameNreadsZeropointsMag plots Spatial mag deviation Spatial sky 16325A emission deviations (filled: sky, open: star) Spatial sky continuum emission Spatial sky telluric CO2 absorption deviations (filled: H < 10)
0 0
RedGreenBlue
z17.64
znorm Inf
sky -Inf -Inf -Inf
S/N 25.9 42.3 50.7
S/N(c) 0.0 0.0 0.0
SN(E/C) 0.85

IPAIRNAMESHIFTNEWSHIFTS/N NAMESHIFTNEWSHIFTS/N
0 17330049 0.499129 0.00000 18.9606 17330048 0.00173849 0.497391 18.8811
1 17330050 0.496907 0.00222200 19.0419 17330051 -0.00107643 0.500205 19.1528
2 17330045 0.498296 0.000833005 18.8282 17330047 0.00180221 0.497327 18.7929
3 17330046 0.498516 0.000613004 18.8275 17330044 0.00000 0.499129 18.7812