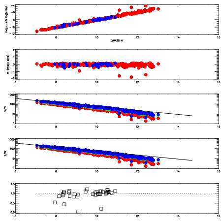
Frame | Nreads | Zeropoints | Mag plots
| Spatial mag deviation
| Spatial sky 16325A emission deviations (filled: sky, open: star)
| Spatial sky continuum emission
| Spatial sky telluric CO2 absorption deviations (filled: H < 10)
|
14310034
| 42
| | Red | Green | Blue
| z | | 17.82
| znorm | | 13.77
| sky | 14.2 | 14.0 | 14.1
| S/N | 6.1 | 11.6 | 12.3
| S/N(c) | 22.8 | 21.1 | 6.8
| SN(E/C) | 1.05
|
|
|
|
|
|
|
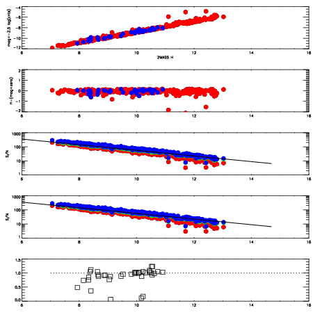
14310035
| 42
| | Red | Green | Blue
| z | | 18.14
| znorm | | 14.08
| sky | 14.0 | 13.9 | 14.1
| S/N | 7.9 | 13.9 | 15.2
| S/N(c) | 27.3 | 24.8 | 8.0
| SN(E/C) | 1.00
|
|
|
|
|
|
|
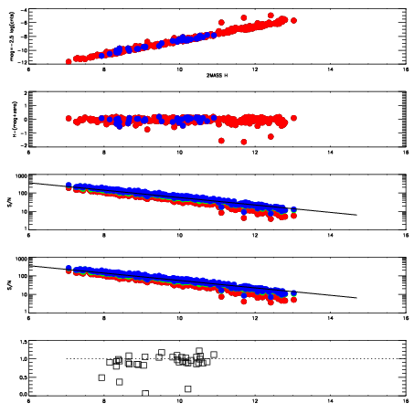
14310036
| 42
| | Red | Green | Blue
| z | | 18.59
| znorm | | 14.53
| sky | 14.4 | 14.3 | 14.4
| S/N | 10.9 | 18.9 | 21.1
| S/N(c) | 35.9 | 31.4 | 10.2
| SN(E/C) | 0.97
|
|
|
|
|
|
|
14310037
| 42
| | Red | Green | Blue
| z | | 18.60
| znorm | | 14.54
| sky | 14.3 | 14.2 | 14.4
| S/N | 11.1 | 19.0 | 21.1
| S/N(c) | 36.1 | 31.9 | 10.3
| SN(E/C) | 0.97
|
|
|
|
|
|
|
14310038
| 42
| | Red | Green | Blue
| z | | 18.68
| znorm | | 14.62
| sky | 14.3 | 14.2 | 14.2
| S/N | 11.9 | 19.6 | 21.9
| S/N(c) | 37.6 | 32.8 | 10.7
| SN(E/C) | 0.95
|
|
|
|
|
|
|
14310039
| 42
| | Red | Green | Blue
| z | | 18.80
| znorm | | 14.75
| sky | 14.3 | 14.3 | 14.4
| S/N | 12.7 | 21.5 | 23.6
| S/N(c) | 40.1 | 34.6 | 11.5
| SN(E/C) | 0.94
|
|
|
|
|
|
|
14310040
| 42
| | Red | Green | Blue
| z | | 18.85
| znorm | | 14.79
| sky | 14.7 | 14.5 | 14.4
| S/N | 13.5 | 22.2 | 24.4
| S/N(c) | 41.6 | 35.8 | 11.8
| SN(E/C) | 0.96
|
|
|
|
|
|
|
14310041
| 42
| | Red | Green | Blue
| z | | 18.65
| znorm | | 14.59
| sky | 14.9 | 14.6 | 14.6
| S/N | 11.7 | 20.2 | 21.8
| S/N(c) | 37.8 | 32.6 | 10.8
| SN(E/C) | 0.93
|
|
|
|
|
|
|