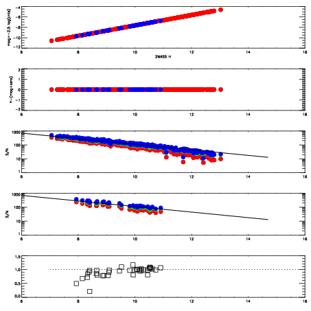
Left plots: red are targets, blue are telluric. Observed mags are calculated from median value of green chip. Zeropoint gives overall throughput: bigger number is more throughput.
First spatial plots: circles are objects, squares are tellurics, crosses are sky fibers. Colors give deviation of observed mag from expected 2MASS mag using the median zeropoint; red is brighter
Second spatial plots: circles are sky fibers. Colors give sky line brightness relative to plate median sky line brightness
FrameNreadsZeropointsMag plots Spatial mag deviation Spatial sky 16325A emission deviations (filled: sky, open: star) Spatial sky continuum emission Spatial sky telluric CO2 absorption deviations (filled: H < 10)
0 0
RedGreenBlue
z17.64
znorm Inf
sky -Inf -Inf -Inf
S/N 19.6 34.3 38.3
S/N(c) 0.0 0.0 0.0
SN(E/C) 0.96

IPAIRNAMESHIFTNEWSHIFTS/N NAMESHIFTNEWSHIFTS/N
0 14310040 0.498316 0.00000 18.8393 14310038 0.00100071 0.497315 18.6712
1 14310039 0.497288 0.00102800 18.7911 14310041 0.000262203 0.498054 18.6399
2 14310036 0.497036 0.00127998 18.5818 14310037 0.000166204 0.498150 18.5939
3 14310035 0.496534 0.00178200 18.1327 14310034 0.00000 0.498316 17.8041