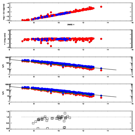
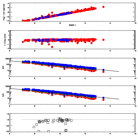
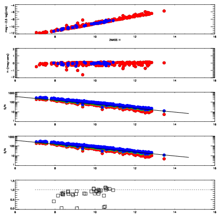
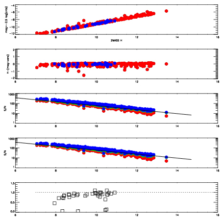
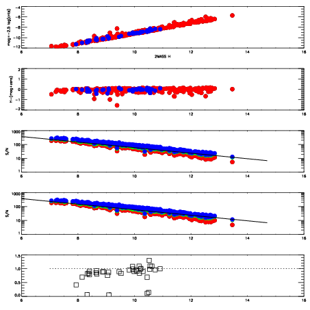
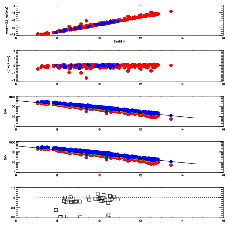
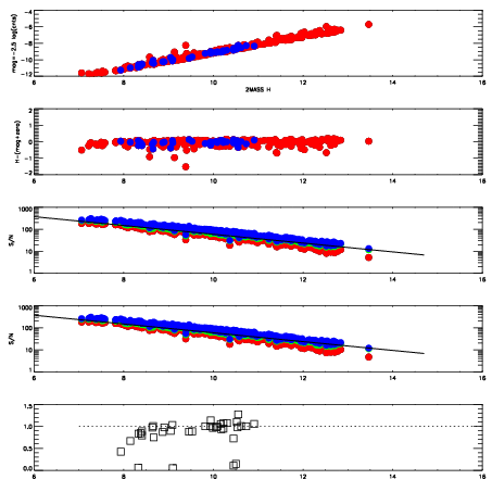
Frame | Nreads | Zeropoints | Mag plots
| Spatial mag deviation
| Spatial sky 16325A emission deviations (filled: sky, open: star)
| Spatial sky continuum emission
| Spatial sky telluric CO2 absorption deviations (filled: H < 10)
|
17350039
| 47
| | Red | Green | Blue
| z | | 19.15
| znorm | | 14.97
| sky | 14.4 | 14.2 | 14.4
| S/N | 16.9 | 25.1 | 29.7
| S/N(c) | 9.6 | 10.8 | 9.6
| SN(E/C) | 0.88
|
|
|
|
|
|
|
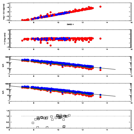
17350040
| 47
| | Red | Green | Blue
| z | | 19.15
| znorm | | 14.97
| sky | 14.4 | 14.3 | 14.4
| S/N | 16.5 | 24.5 | 29.1
| S/N(c) | 9.4 | 10.7 | 9.7
| SN(E/C) | 0.96
|
|
|
|
|
|
|
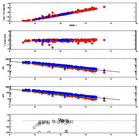
17350041
| 47
| | Red | Green | Blue
| z | | 19.18
| znorm | | 15.00
| sky | 14.3 | 14.3 | 14.4
| S/N | 16.7 | 24.6 | 29.3
| S/N(c) | 9.6 | 10.8 | 9.7
| SN(E/C) | 0.89
|
|
|
|
|
|
|
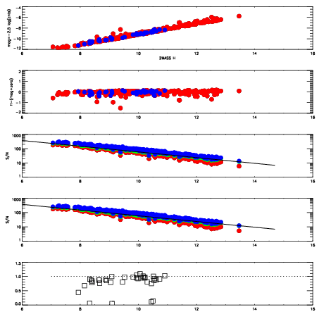
17350042
| 47
| | Red | Green | Blue
| z | | 19.18
| znorm | | 15.00
| sky | 14.4 | 14.5 | 14.5
| S/N | 16.8 | 24.8 | 29.0
| S/N(c) | 9.8 | 10.8 | 9.6
| SN(E/C) | 0.88
|
|
|
|
|
|
|
17350043
| 47
| | Red | Green | Blue
| z | | 19.14
| znorm | | 14.96
| sky | 14.3 | 14.4 | 14.5
| S/N | 16.5 | 24.3 | 28.2
| S/N(c) | 9.5 | 10.6 | 9.5
| SN(E/C) | 0.88
|
|
|
|
|
|
|
17350044
| 47
| | Red | Green | Blue
| z | | 19.19
| znorm | | 15.01
| sky | 14.2 | 14.3 | 14.5
| S/N | 17.0 | 24.6 | 28.9
| S/N(c) | 9.7 | 10.8 | 9.7
| SN(E/C) | 0.88
|
|
|
|
|
|
|
17350045
| 47
| | Red | Green | Blue
| z | | 19.18
| znorm | | 15.00
| sky | 14.3 | 14.4 | 14.4
| S/N | 16.8 | 24.9 | 28.8
| S/N(c) | 9.7 | 10.9 | 9.6
| SN(E/C) | 0.85
|
|
|
|
|
|
|
17350046
| 47
| | Red | Green | Blue
| z | | 19.18
| znorm | | 15.00
| sky | 14.3 | 14.5 | 14.4
| S/N | 17.2 | 24.9 | 28.9
| S/N(c) | 9.6 | 10.9 | 9.7
| SN(E/C) | 0.88
|
|
|
|
|
|
|
17350047
| 47
| | Red | Green | Blue
| z | | 19.16
| znorm | | 14.98
| sky | 14.3 | 14.3 | 14.4
| S/N | 16.9 | 24.8 | 28.3
| S/N(c) | 9.5 | 10.7 | 9.6
| SN(E/C) | 0.88
|
|
|
|
|
|
|
17350048
| 47
| | Red | Green | Blue
| z | | 19.18
| znorm | | 15.00
| sky | 14.3 | 14.4 | 14.4
| S/N | 17.2 | 25.0 | 28.8
| S/N(c) | 9.5 | 10.9 | 9.7
| SN(E/C) | 0.88
|
|
|
|
|
|
|