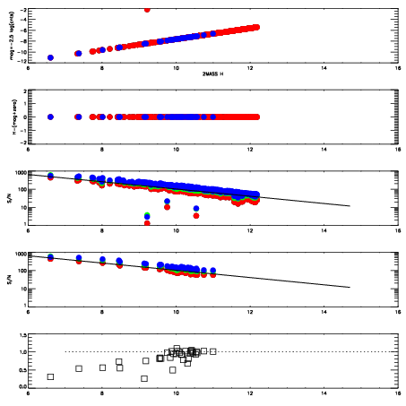
Left plots: red are targets, blue are telluric. Observed mags are calculated from median value of green chip. Zeropoint gives overall throughput: bigger number is more throughput.
First spatial plots: circles are objects, squares are tellurics, crosses are sky fibers. Colors give deviation of observed mag from expected 2MASS mag using the median zeropoint; red is brighter
Second spatial plots: circles are sky fibers. Colors give sky line brightness relative to plate median sky line brightness
FrameNreadsZeropointsMag plots Spatial mag deviation Spatial sky 16325A emission deviations (filled: sky, open: star) Spatial sky continuum emission Spatial sky telluric CO2 absorption deviations (filled: H < 10)
0 0
RedGreenBlue
z17.64
znorm Inf
sky -NaN -NaN -NaN
S/N 26.3 44.4 52.6
S/N(c) 0.0 0.0 0.0
SN(E/C) 0.93

IPAIRNAMESHIFTNEWSHIFTS/N NAMESHIFTNEWSHIFTS/N
0 17340071 0.503655 0.00000 19.1976 17340070 0.00257922 0.501076 19.1703
1 17340068 0.503050 0.000604987 19.2089 17340069 0.00293755 0.500717 19.1895
2 17340067 0.502456 0.00119901 19.2052 17340066 0.00000 0.503655 19.1734