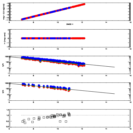
Left plots: red are targets, blue are telluric. Observed mags are calculated from median value of green chip. Zeropoint gives overall throughput: bigger number is more throughput.
First spatial plots: circles are objects, squares are tellurics, crosses are sky fibers. Colors give deviation of observed mag from expected 2MASS mag using the median zeropoint; red is brighter
Second spatial plots: circles are sky fibers. Colors give sky line brightness relative to plate median sky line brightness
FrameNreadsZeropointsMag plots Spatial mag deviation Spatial sky 16325A emission deviations (filled: sky, open: star) Spatial sky continuum emission Spatial sky telluric CO2 absorption deviations (filled: H < 10)
0 0
RedGreenBlue
z17.64
znorm Inf
sky -Inf -Inf -NaN
S/N 27.9 45.4 53.4
S/N(c) 0.0 0.0 0.0
SN(E/C) 0.87

IPAIRNAMESHIFTNEWSHIFTS/N NAMESHIFTNEWSHIFTS/N
0 17020067 0.471030 0.00000 19.1102 17020069 8.59407e-05 0.470944 19.1192
1 17020070 0.466542 0.00448799 19.1233 17020072 -0.00278883 0.473819 19.1683
2 17020071 0.465687 0.00534299 19.1086 17020068 0.00113471 0.469895 19.0558
3 17020066 0.469710 0.00132000 19.0922 17020065 0.00000 0.471030 19.0379