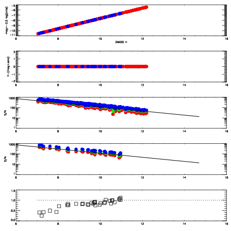
Left plots: red are targets, blue are telluric. Observed mags are calculated from median value of green chip. Zeropoint gives overall throughput: bigger number is more throughput.
First spatial plots: circles are objects, squares are tellurics, crosses are sky fibers. Colors give deviation of observed mag from expected 2MASS mag using the median zeropoint; red is brighter
Second spatial plots: circles are sky fibers. Colors give sky line brightness relative to plate median sky line brightness
FrameNreadsZeropointsMag plots Spatial mag deviation Spatial sky 16325A emission deviations (filled: sky, open: star) Spatial sky continuum emission Spatial sky telluric CO2 absorption deviations (filled: H < 10)
0 0
RedGreenBlue
z17.64
znorm Inf
sky -Inf -Inf -Inf
S/N 29.7 50.5 56.9
S/N(c) 0.0 0.0 0.0
SN(E/C) 0.84

IPAIRNAMESHIFTNEWSHIFTS/N NAMESHIFTNEWSHIFTS/N
0 17300060 0.494962 0.00000 19.1973 17300059 0.00000 0.494962 19.1822
1 17300061 0.494242 0.000719994 19.2401 17300066 0.00221102 0.492751 19.2255
2 17300065 0.493975 0.000986993 19.2343 17300063 0.00168061 0.493281 19.2249
3 17300064 0.493354 0.00160801 19.2226 17300062 0.00160012 0.493362 19.2065