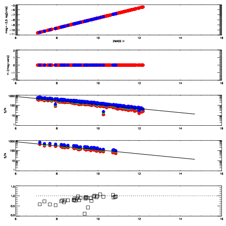
Left plots: red are targets, blue are telluric. Observed mags are calculated from median value of green chip. Zeropoint gives overall throughput: bigger number is more throughput.
First spatial plots: circles are objects, squares are tellurics, crosses are sky fibers. Colors give deviation of observed mag from expected 2MASS mag using the median zeropoint; red is brighter
Second spatial plots: circles are sky fibers. Colors give sky line brightness relative to plate median sky line brightness
FrameNreadsZeropointsMag plots Spatial mag deviation Spatial sky 16325A emission deviations (filled: sky, open: star) Spatial sky continuum emission Spatial sky telluric CO2 absorption deviations (filled: H < 10)
0 0
RedGreenBlue
z17.64
znorm Inf
sky -Inf -Inf -Inf
S/N 27.6 42.4 48.7
S/N(c) 0.0 0.0 0.0
SN(E/C) 0.87

IPAIRNAMESHIFTNEWSHIFTS/N NAMESHIFTNEWSHIFTS/N
0 14650038 0.486454 0.00000 19.1114 14650041 -0.00167119 0.488125 19.1077
1 14650042 0.485453 0.00100100 19.1138 14650037 0.00000 0.486454 19.1261
2 14650043 0.485847 0.000607014 19.1043 14650044 -0.00283444 0.489288 19.0977
3 14650039 0.486240 0.000214010 19.0803 14650040 -0.00163298 0.488087 18.9900