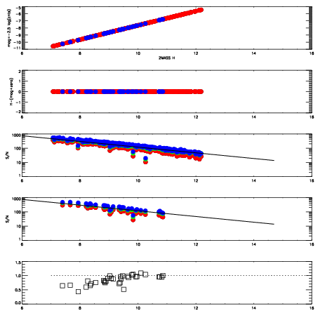
Left plots: red are targets, blue are telluric. Observed mags are calculated from median value of green chip. Zeropoint gives overall throughput: bigger number is more throughput.
First spatial plots: circles are objects, squares are tellurics, crosses are sky fibers. Colors give deviation of observed mag from expected 2MASS mag using the median zeropoint; red is brighter
Second spatial plots: circles are sky fibers. Colors give sky line brightness relative to plate median sky line brightness
FrameNreadsZeropointsMag plots Spatial mag deviation Spatial sky 16325A emission deviations (filled: sky, open: star) Spatial sky continuum emission Spatial sky telluric CO2 absorption deviations (filled: H < 10)
0 0
RedGreenBlue
z17.64
znorm Inf
sky -Inf -Inf -Inf
S/N 26.4 43.2 47.4
S/N(c) 0.0 0.0 0.0
SN(E/C) 0.90

IPAIRNAMESHIFTNEWSHIFTS/N NAMESHIFTNEWSHIFTS/N
0 14680013 0.496617 0.00000 18.9614 14680015 -0.00176792 0.498385 18.9612
1 14680012 0.495563 0.00105399 19.0004 14680011 0.00000 0.496617 18.9908
2 14680016 0.495963 0.000653982 18.9081 14680014 -0.00174640 0.498363 18.9370
3 14680017 0.496233 0.000384003 18.8946 14680018 -0.00263556 0.499253 18.8970