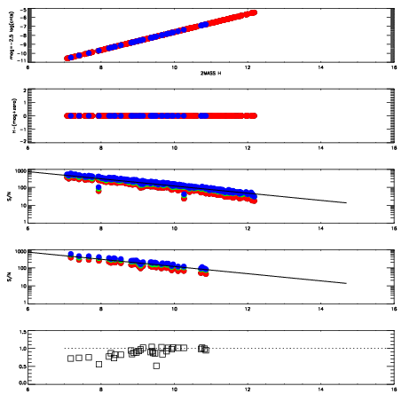
Left plots: red are targets, blue are telluric. Observed mags are calculated from median value of green chip. Zeropoint gives overall throughput: bigger number is more throughput.
First spatial plots: circles are objects, squares are tellurics, crosses are sky fibers. Colors give deviation of observed mag from expected 2MASS mag using the median zeropoint; red is brighter
Second spatial plots: circles are sky fibers. Colors give sky line brightness relative to plate median sky line brightness
FrameNreadsZeropointsMag plots Spatial mag deviation Spatial sky 16325A emission deviations (filled: sky, open: star) Spatial sky continuum emission Spatial sky telluric CO2 absorption deviations (filled: H < 10)
0 0
RedGreenBlue
z17.64
znorm Inf
sky -Inf -Inf -Inf
S/N 22.5 34.8 42.5
S/N(c) 0.0 0.0 0.0
SN(E/C) 0.92

IPAIRNAMESHIFTNEWSHIFTS/N NAMESHIFTNEWSHIFTS/N
0 14960017 0.500266 0.00000 18.5602 14960018 0.00154875 0.498717 18.4817
1 14960012 0.497953 0.00231302 19.0500 14960011 0.00000 0.500266 19.0539
2 14960013 0.499156 0.00111002 19.0275 14960015 -0.000625754 0.500892 18.9380
3 14960016 0.498262 0.00200403 18.9000 14960014 7.09011e-05 0.500195 18.6738