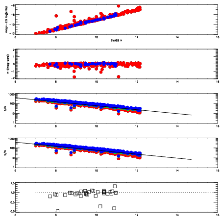
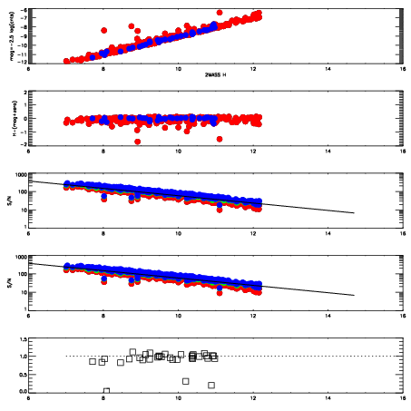
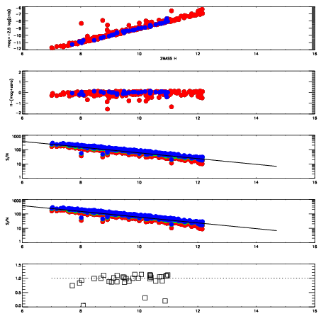
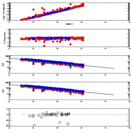
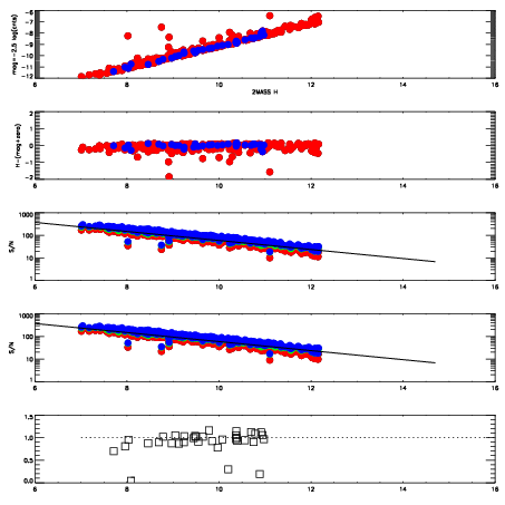
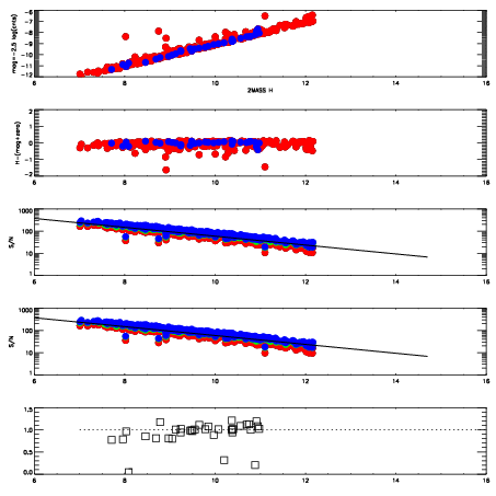
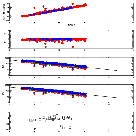
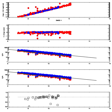
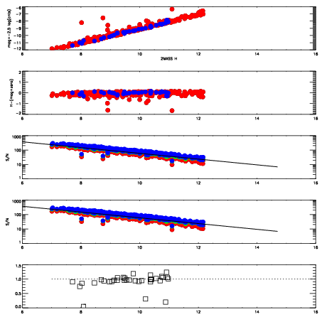
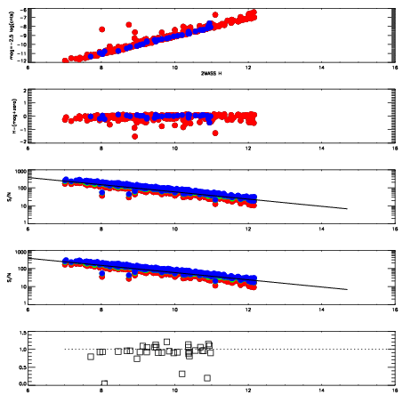
Frame | Nreads | Zeropoints | Mag plots
| Spatial mag deviation
| Spatial sky 16325A emission deviations (filled: sky, open: star)
| Spatial sky continuum emission
| Spatial sky telluric CO2 absorption deviations (filled: H < 10)
|
14290062
| 47
| | Red | Green | Blue
| z | | 19.13
| znorm | | 14.95
| sky | 14.5 | 14.2 | 14.5
| S/N | 17.0 | 27.1 | 27.5
| S/N(c) | 45.6 | 12.5 | 12.9
| SN(E/C) | 0.93
|
|
|
|
|
|
|
14290063
| 47
| | Red | Green | Blue
| z | | 19.10
| znorm | | 14.92
| sky | 14.7 | 14.4 | 14.6
| S/N | 16.0 | 26.1 | 26.5
| S/N(c) | 44.7 | 12.5 | 12.7
| SN(E/C) | 0.96
|
|
|
|
|
|
|
14290064
| 47
| | Red | Green | Blue
| z | | 19.09
| znorm | | 14.91
| sky | 14.6 | 14.4 | 14.6
| S/N | 15.7 | 25.7 | 25.5
| S/N(c) | 44.2 | 12.3 | 12.5
| SN(E/C) | 0.97
|
|
|
|
|
|
|
14290065
| 47
| | Red | Green | Blue
| z | | 19.12
| znorm | | 14.94
| sky | 14.8 | 14.5 | 14.5
| S/N | 16.1 | 26.6 | 26.6
| S/N(c) | 44.7 | 12.6 | 12.7
| SN(E/C) | 0.96
|
|
|
|
|
|
|
14290066
| 47
| | Red | Green | Blue
| z | | 19.03
| znorm | | 14.85
| sky | 14.7 | 14.6 | 14.6
| S/N | 15.5 | 25.5 | 25.6
| S/N(c) | 42.9 | 12.0 | 12.2
| SN(E/C) | 0.97
|
|
|
|
|
|
|
14290067
| 47
| | Red | Green | Blue
| z | | 19.02
| znorm | | 14.84
| sky | 14.9 | 14.6 | 14.8
| S/N | 15.2 | 25.2 | 25.3
| S/N(c) | 42.3 | 12.0 | 12.1
| SN(E/C) | 0.98
|
|
|
|
|
|
|
14290068
| 47
| | Red | Green | Blue
| z | | 19.01
| znorm | | 14.83
| sky | 14.8 | 14.7 | 14.6
| S/N | 15.0 | 25.2 | 25.1
| S/N(c) | 42.4 | 12.1 | 12.2
| SN(E/C) | 1.00
|
|
|
|
|
|
|
14290069
| 47
| | Red | Green | Blue
| z | | 19.05
| znorm | | 14.87
| sky | 14.6 | 14.5 | 14.7
| S/N | 15.7 | 26.0 | 25.9
| S/N(c) | 43.1 | 12.2 | 12.3
| SN(E/C) | 1.00
|
|
|
|
|
|
|
14290070
| 47
| | Red | Green | Blue
| z | | 19.03
| znorm | | 14.85
| sky | 14.8 | 14.5 | 14.6
| S/N | 15.4 | 25.7 | 25.7
| S/N(c) | 42.8 | 12.1 | 12.1
| SN(E/C) | 0.96
|
|
|
|
|
|
|
14290071
| 47
| | Red | Green | Blue
| z | | 19.07
| znorm | | 14.89
| sky | 14.6 | 14.6 | 14.7
| S/N | 15.4 | 26.0 | 25.8
| S/N(c) | 43.4 | 12.3 | 12.4
| SN(E/C) | 0.94
|
|
|
|
|
|
|