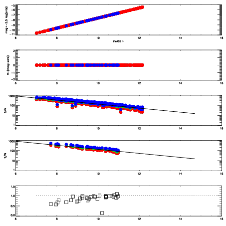
Left plots: red are targets, blue are telluric. Observed mags are calculated from median value of green chip. Zeropoint gives overall throughput: bigger number is more throughput.
First spatial plots: circles are objects, squares are tellurics, crosses are sky fibers. Colors give deviation of observed mag from expected 2MASS mag using the median zeropoint; red is brighter
Second spatial plots: circles are sky fibers. Colors give sky line brightness relative to plate median sky line brightness
FrameNreadsZeropointsMag plots Spatial mag deviation Spatial sky 16325A emission deviations (filled: sky, open: star) Spatial sky continuum emission Spatial sky telluric CO2 absorption deviations (filled: H < 10)
0 0
RedGreenBlue
z17.64
znorm Inf
sky -NaN -Inf -NaN
S/N 31.5 54.5 54.7
S/N(c) 0.0 0.0 0.0
SN(E/C) 0.92

IPAIRNAMESHIFTNEWSHIFTS/N NAMESHIFTNEWSHIFTS/N
0 14290064 0.496024 0.00000 19.0834 14290065 -0.000671758 0.496696 19.1166
1 14290063 0.493573 0.00245100 19.0939 14290062 0.00000 0.496024 19.1215
2 14290071 0.495302 0.000722021 19.0605 14290069 -0.000903998 0.496928 19.0402
3 14290067 0.494113 0.00191101 19.0086 14290070 -0.00164996 0.497674 19.0288
4 14290068 0.494824 0.00120002 19.0066 14290066 -0.000497307 0.496521 19.0286