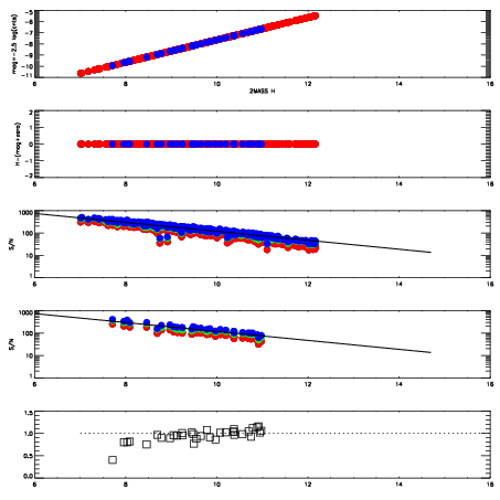
Left plots: red are targets, blue are telluric. Observed mags are calculated from median value of green chip. Zeropoint gives overall throughput: bigger number is more throughput.
First spatial plots: circles are objects, squares are tellurics, crosses are sky fibers. Colors give deviation of observed mag from expected 2MASS mag using the median zeropoint; red is brighter
Second spatial plots: circles are sky fibers. Colors give sky line brightness relative to plate median sky line brightness
FrameNreadsZeropointsMag plots Spatial mag deviation Spatial sky 16325A emission deviations (filled: sky, open: star) Spatial sky continuum emission Spatial sky telluric CO2 absorption deviations (filled: H < 10)
0 0
RedGreenBlue
z17.64
znorm Inf
sky -Inf -Inf -NaN
S/N 21.8 37.3 37.3
S/N(c) 0.0 0.0 0.0
SN(E/C) 0.96

IPAIRNAMESHIFTNEWSHIFTS/N NAMESHIFTNEWSHIFTS/N
0 14890013 0.497007 0.00000 18.6387 14890011 0.00000 0.497007 18.6446
1 14890017 0.496606 0.000401020 18.7140 14890018 -0.00246416 0.499471 18.8929
2 14890012 0.496944 6.30021e-05 18.7028 14890015 -0.000484107 0.497491 18.6658
3 14890016 0.496806 0.000201017 18.5706 14890014 -0.000463493 0.497470 18.6244