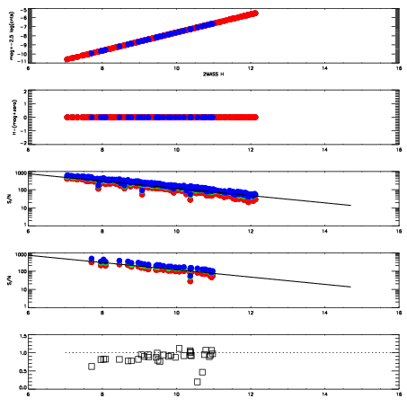
Left plots: red are targets, blue are telluric. Observed mags are calculated from median value of green chip. Zeropoint gives overall throughput: bigger number is more throughput.
First spatial plots: circles are objects, squares are tellurics, crosses are sky fibers. Colors give deviation of observed mag from expected 2MASS mag using the median zeropoint; red is brighter
Second spatial plots: circles are sky fibers. Colors give sky line brightness relative to plate median sky line brightness
FrameNreadsZeropointsMag plots Spatial mag deviation Spatial sky 16325A emission deviations (filled: sky, open: star) Spatial sky continuum emission Spatial sky telluric CO2 absorption deviations (filled: H < 10)
0 0
RedGreenBlue
z17.64
znorm Inf
sky -Inf -Inf -NaN
S/N 29.2 48.3 53.0
S/N(c) 0.0 0.0 0.0
SN(E/C) 0.90

IPAIRNAMESHIFTNEWSHIFTS/N NAMESHIFTNEWSHIFTS/N
0 14300061 0.496110 0.00000 19.0705 14300059 -0.000545945 0.496656 19.0421
1 14300056 0.495742 0.000367999 19.1107 14300055 0.00000 0.496110 19.1196
2 14300057 0.494417 0.00169298 19.0801 14300062 -0.000309537 0.496420 19.0617
3 14300060 0.495823 0.000286996 19.0517 14300058 -0.000596700 0.496707 18.9868