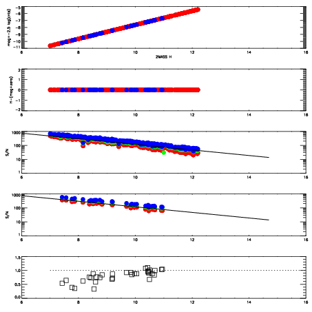
Left plots: red are targets, blue are telluric. Observed mags are calculated from median value of green chip. Zeropoint gives overall throughput: bigger number is more throughput.
First spatial plots: circles are objects, squares are tellurics, crosses are sky fibers. Colors give deviation of observed mag from expected 2MASS mag using the median zeropoint; red is brighter
Second spatial plots: circles are sky fibers. Colors give sky line brightness relative to plate median sky line brightness
FrameNreadsZeropointsMag plots Spatial mag deviation Spatial sky 16325A emission deviations (filled: sky, open: star) Spatial sky continuum emission Spatial sky telluric CO2 absorption deviations (filled: H < 10)
0 0
RedGreenBlue
z17.64
znorm Inf
sky -Inf -Inf -NaN
S/N 29.0 49.3 57.3
S/N(c) 0.0 0.0 0.0
SN(E/C) 0.87

IPAIRNAMESHIFTNEWSHIFTS/N NAMESHIFTNEWSHIFTS/N
0 17310067 0.501342 0.00000 19.1502 17310068 -0.00117542 0.502517 19.1315
1 17310071 0.500157 0.00118500 19.1601 17310069 -0.00157391 0.502916 19.1762
2 17310070 0.498873 0.00246900 19.1562 17310072 -0.00191179 0.503254 19.1584
3 17310066 0.500836 0.000505984 19.1170 17310065 0.00000 0.501342 19.0329