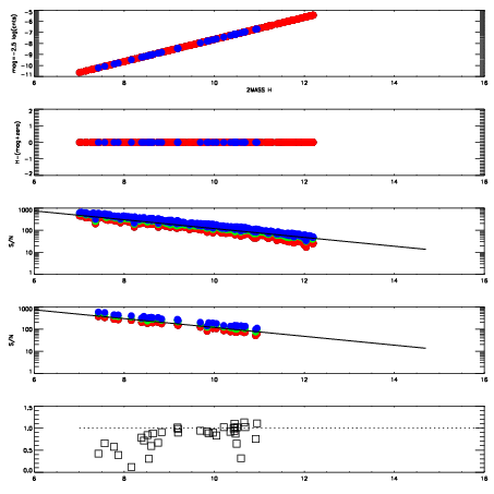
Left plots: red are targets, blue are telluric. Observed mags are calculated from median value of green chip. Zeropoint gives overall throughput: bigger number is more throughput.
First spatial plots: circles are objects, squares are tellurics, crosses are sky fibers. Colors give deviation of observed mag from expected 2MASS mag using the median zeropoint; red is brighter
Second spatial plots: circles are sky fibers. Colors give sky line brightness relative to plate median sky line brightness
FrameNreadsZeropointsMag plots Spatial mag deviation Spatial sky 16325A emission deviations (filled: sky, open: star) Spatial sky continuum emission Spatial sky telluric CO2 absorption deviations (filled: H < 10)
0 0
RedGreenBlue
z17.64
znorm Inf
sky -Inf -Inf -Inf
S/N 26.8 46.7 51.9
S/N(c) 0.0 0.0 0.0
SN(E/C) 0.88

IPAIRNAMESHIFTNEWSHIFTS/N NAMESHIFTNEWSHIFTS/N
0 17340056 0.501367 0.00000 18.7854 17340059 0.00166904 0.499698 18.9462
1 17340060 0.495483 0.00588396 19.1347 17340058 0.00185944 0.499508 19.1378
2 17340061 0.495646 0.00572097 19.1169 17340055 0.00000 0.501367 19.1218
3 17340057 0.498804 0.00256297 19.1017 17340062 0.000406659 0.500960 19.0581