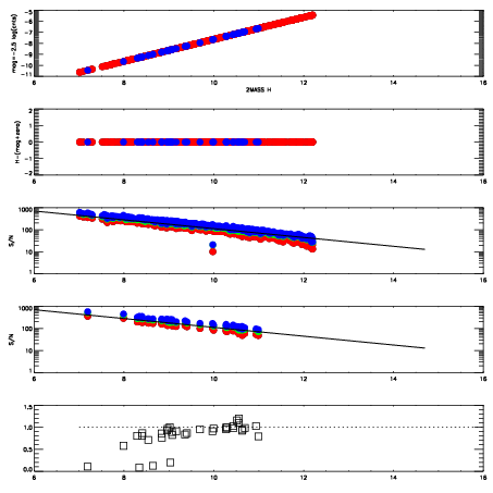
Left plots: red are targets, blue are telluric. Observed mags are calculated from median value of green chip. Zeropoint gives overall throughput: bigger number is more throughput.
First spatial plots: circles are objects, squares are tellurics, crosses are sky fibers. Colors give deviation of observed mag from expected 2MASS mag using the median zeropoint; red is brighter
Second spatial plots: circles are sky fibers. Colors give sky line brightness relative to plate median sky line brightness
FrameNreadsZeropointsMag plots Spatial mag deviation Spatial sky 16325A emission deviations (filled: sky, open: star) Spatial sky continuum emission Spatial sky telluric CO2 absorption deviations (filled: H < 10)
0 0
RedGreenBlue
z17.64
znorm Inf
sky -NaN -Inf -Inf
S/N 25.0 43.6 46.1
S/N(c) 0.0 0.0 0.0
SN(E/C) 0.91

IPAIRNAMESHIFTNEWSHIFTS/N NAMESHIFTNEWSHIFTS/N
0 14310076 0.499070 0.00000 18.9435 14310074 -0.000228327 0.499298 18.9582
1 14310072 0.496245 0.00282499 18.9758 14310073 -0.000276465 0.499346 19.0060
2 14310071 0.496488 0.00258198 18.9408 14310070 0.00000 0.499070 18.9498
3 14310075 0.497851 0.00121897 18.9185 14310077 0.000358992 0.498711 18.9436