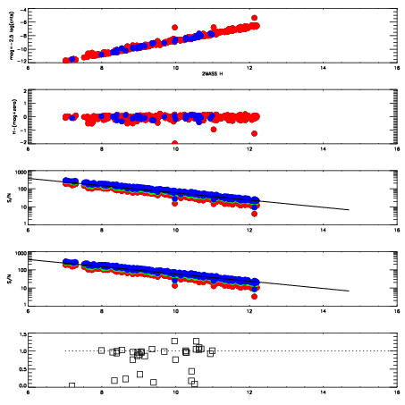
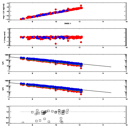
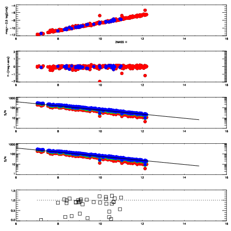
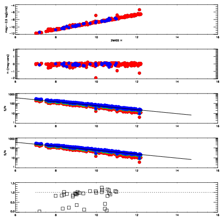
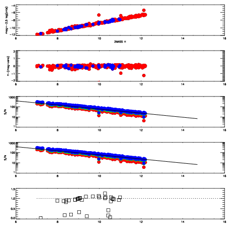
Left plots: red are targets, blue are telluric. Observed mags are calculated from median value of green chip. Zeropoint gives overall throughput: bigger number is more throughput.
First spatial plots: circles are objects, squares are tellurics, crosses are sky fibers. Colors give deviation of observed mag from expected 2MASS mag using the median zeropoint; red is brighter
Second spatial plots: circles are sky fibers. Colors give sky line brightness relative to plate median sky line brightness
FrameNreadsZeropointsMag plots Spatial mag deviation Spatial sky 16325A emission deviations (filled: sky, open: star) Spatial sky continuum emission Spatial sky telluric CO2 absorption deviations (filled: H < 10)
18150035 47
RedGreenBlue
z18.61
znorm14.42
sky 14.6 14.3 14.2
S/N 11.7 19.6 21.2
S/N(c) 14.0 19.1 16.7
SN(E/C) 0.90
18150036 47
RedGreenBlue
z18.71
znorm14.53
sky 14.6 14.4 14.3
S/N 11.7 20.6 22.8
S/N(c) 14.9 20.1 17.5
SN(E/C) 0.95
18150037 47
RedGreenBlue
z18.75
znorm14.57
sky 14.5 14.4 14.2
S/N 12.4 21.0 22.7
S/N(c) 15.5 20.6 18.2
SN(E/C) 0.97
18150038 47
RedGreenBlue
z18.74
znorm14.56
sky 14.4 14.5 14.2
S/N 12.2 20.8 22.4
S/N(c) 15.2 20.5 17.9
SN(E/C) 0.93
18150039 47
RedGreenBlue
z18.70
znorm14.52
sky 14.8 14.5 14.4
S/N 11.3 20.0 22.4
S/N(c) 15.1 20.2 17.8
SN(E/C) 0.91
18150040 47
RedGreenBlue
z18.80
znorm14.62
sky 14.7 14.4 14.3
S/N 12.3 21.1 23.7
S/N(c) 15.9 21.3 18.8
SN(E/C) 0.94