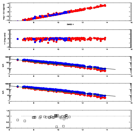
Frame | Nreads | Zeropoints | Mag plots
| Spatial mag deviation
| Spatial sky 16325A emission deviations (filled: sky, open: star)
| Spatial sky continuum emission
| Spatial sky telluric CO2 absorption deviations (filled: H < 10)
|
14970047
| 47
| | Red | Green | Blue
| z | | 19.05
| znorm | | 14.87
| sky | 14.5 | 14.3 | 14.5
| S/N | 15.9 | 24.0 | 28.0
| S/N(c) | 16.1 | 15.4 | 15.0
| SN(E/C) | 0.93
|
|
|
|
|
|
|
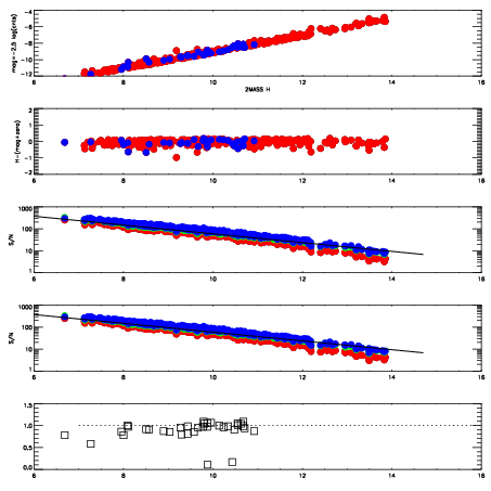
14970048
| 47
| | Red | Green | Blue
| z | | 19.06
| znorm | | 14.88
| sky | 14.6 | 14.3 | 14.5
| S/N | 16.2 | 24.0 | 28.3
| S/N(c) | 16.2 | 15.7 | 15.0
| SN(E/C) | 0.93
|
|
|
|
|
|
|
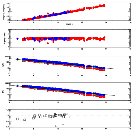
14970049
| 47
| | Red | Green | Blue
| z | | 19.10
| znorm | | 14.92
| sky | 14.5 | 14.4 | 14.6
| S/N | 16.2 | 24.5 | 28.3
| S/N(c) | 16.5 | 15.9 | 15.2
| SN(E/C) | 0.93
|
|
|
|
|
|
|
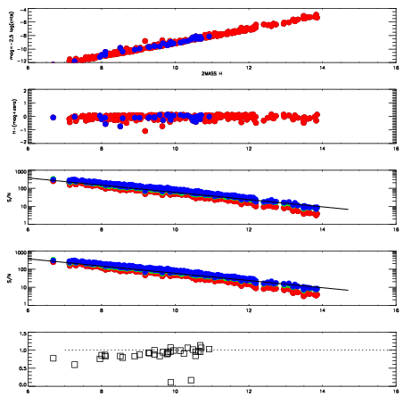
14970050
| 47
| | Red | Green | Blue
| z | | 19.08
| znorm | | 14.90
| sky | 14.7 | 14.4 | 14.4
| S/N | 16.6 | 24.6 | 28.8
| S/N(c) | 16.3 | 15.6 | 14.9
| SN(E/C) | 0.90
|
|
|
|
|
|
|
14970051
| 47
| | Red | Green | Blue
| z | | 19.07
| znorm | | 14.89
| sky | 14.5 | 14.4 | 14.5
| S/N | 15.9 | 24.3 | 27.9
| S/N(c) | 15.8 | 15.2 | 14.7
| SN(E/C) | 0.95
|
|
|
|
|
|
|
14970052
| 47
| | Red | Green | Blue
| z | | 19.06
| znorm | | 14.88
| sky | 14.5 | 14.4 | 14.6
| S/N | 16.8 | 24.9 | 29.8
| S/N(c) | 16.2 | 15.6 | 14.8
| SN(E/C) | 0.95
|
|
|
|
|
|
|
14970053
| 47
| | Red | Green | Blue
| z | | 19.11
| znorm | | 14.93
| sky | 14.6 | 14.4 | 14.5
| S/N | 16.6 | 24.8 | 29.0
| S/N(c) | 16.4 | 15.5 | 14.9
| SN(E/C) | 0.95
|
|
|
|
|
|
|
14970054
| 47
| | Red | Green | Blue
| z | | 19.12
| znorm | | 14.94
| sky | 14.5 | 14.3 | 14.4
| S/N | 17.0 | 25.1 | 29.5
| S/N(c) | 16.5 | 15.8 | 15.0
| SN(E/C) | 0.95
|
|
|
|
|
|
|