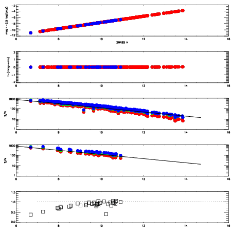
Left plots: red are targets, blue are telluric. Observed mags are calculated from median value of green chip. Zeropoint gives overall throughput: bigger number is more throughput.
First spatial plots: circles are objects, squares are tellurics, crosses are sky fibers. Colors give deviation of observed mag from expected 2MASS mag using the median zeropoint; red is brighter
Second spatial plots: circles are sky fibers. Colors give sky line brightness relative to plate median sky line brightness
FrameNreadsZeropointsMag plots Spatial mag deviation Spatial sky 16325A emission deviations (filled: sky, open: star) Spatial sky continuum emission Spatial sky telluric CO2 absorption deviations (filled: H < 10)
0 0
RedGreenBlue
z17.64
znorm Inf
sky -Inf -Inf -Inf
S/N 30.3 50.2 54.9
S/N(c) 0.0 0.0 0.0
SN(E/C) 0.90

IPAIRNAMESHIFTNEWSHIFTS/N NAMESHIFTNEWSHIFTS/N
0 15470013 0.492736 0.00000 19.2062 15470015 0.000174180 0.492562 19.2250
1 15470017 0.490240 0.00249600 19.2237 15470019 -0.00137682 0.494113 19.2570
2 15470018 0.489648 0.00308800 19.2158 15470016 -0.000609238 0.493345 19.2275
3 15470014 0.492267 0.000468999 19.2021 15470012 0.00000 0.492736 19.2053