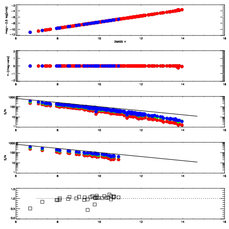
Left plots: red are targets, blue are telluric. Observed mags are calculated from median value of green chip. Zeropoint gives overall throughput: bigger number is more throughput.
First spatial plots: circles are objects, squares are tellurics, crosses are sky fibers. Colors give deviation of observed mag from expected 2MASS mag using the median zeropoint; red is brighter
Second spatial plots: circles are sky fibers. Colors give sky line brightness relative to plate median sky line brightness
FrameNreadsZeropointsMag plots Spatial mag deviation Spatial sky 16325A emission deviations (filled: sky, open: star) Spatial sky continuum emission Spatial sky telluric CO2 absorption deviations (filled: H < 10)
0 0
RedGreenBlue
z17.64
znorm Inf
sky -Inf -Inf -Inf
S/N 8.8 16.6 17.4
S/N(c) 0.0 0.0 0.0
SN(E/C) 1.04

IPAIRNAMESHIFTNEWSHIFTS/N NAMESHIFTNEWSHIFTS/N
0 15550016 0.495004 0.00000 15.8613 15550015 0.000589135 0.494415 17.1754
1 15550012 0.493248 0.00175601 18.3035 15550011 0.00000 0.495004 17.8367
2 15550013 0.493329 0.00167501 18.1611 15550014 0.000106321 0.494898 17.4610