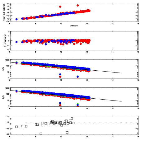
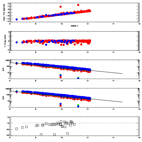
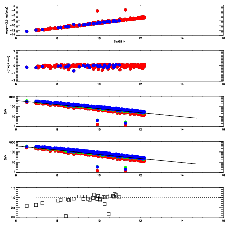
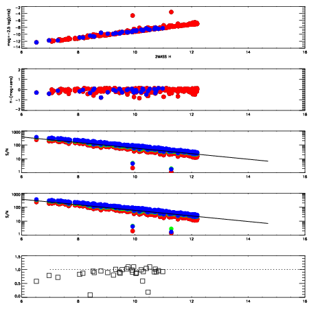
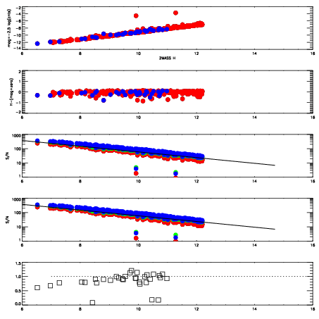
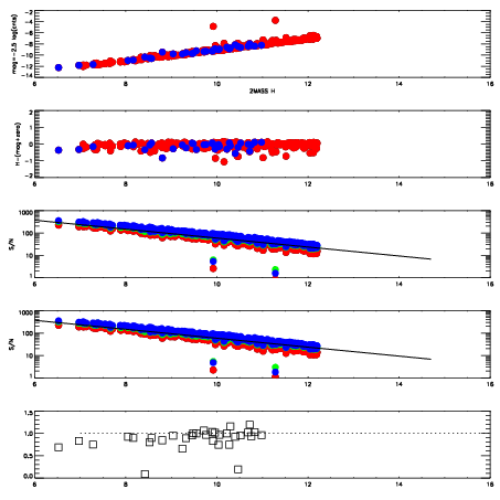
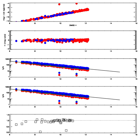
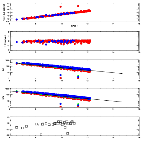
Frame | Nreads | Zeropoints | Mag plots
| Spatial mag deviation
| Spatial sky 16325A emission deviations (filled: sky, open: star)
| Spatial sky continuum emission
| Spatial sky telluric CO2 absorption deviations (filled: H < 10)
|
14980026
| 47
| | Red | Green | Blue
| z | | 19.10
| znorm | | 14.92
| sky | 14.4 | 14.2 | 14.3
| S/N | 16.6 | 26.0 | 28.0
| S/N(c) | 40.4 | 22.9 | 15.3
| SN(E/C) | 0.93
|
|
|
|
|
|
|
14980027
| 47
| | Red | Green | Blue
| z | | 19.13
| znorm | | 14.95
| sky | 14.6 | 14.1 | 14.4
| S/N | 16.8 | 26.2 | 29.1
| S/N(c) | 42.1 | 24.0 | 15.6
| SN(E/C) | 0.91
|
|
|
|
|
|
|
14980028
| 47
| | Red | Green | Blue
| z | | 19.20
| znorm | | 15.02
| sky | 14.6 | 14.2 | 14.3
| S/N | 17.5 | 27.4 | 29.8
| S/N(c) | 43.7 | 24.7 | 16.1
| SN(E/C) | 0.90
|
|
|
|
|
|
|
14980029
| 47
| | Red | Green | Blue
| z | | 19.21
| znorm | | 15.03
| sky | 14.4 | 14.3 | 14.3
| S/N | 17.7 | 27.7 | 30.2
| S/N(c) | 44.3 | 24.8 | 16.3
| SN(E/C) | 0.91
|
|
|
|
|
|
|
14980030
| 47
| | Red | Green | Blue
| z | | 19.22
| znorm | | 15.04
| sky | 14.5 | 14.2 | 14.3
| S/N | 17.7 | 27.4 | 30.2
| S/N(c) | 44.4 | 24.8 | 16.1
| SN(E/C) | 0.88
|
|
|
|
|
|
|
14980031
| 47
| | Red | Green | Blue
| z | | 19.18
| znorm | | 15.00
| sky | 14.3 | 14.4 | 14.3
| S/N | 17.3 | 27.2 | 29.6
| S/N(c) | 43.7 | 24.6 | 16.1
| SN(E/C) | 0.95
|
|
|
|
|
|
|
14980032
| 47
| | Red | Green | Blue
| z | | 19.15
| znorm | | 14.97
| sky | 14.5 | 14.3 | 14.5
| S/N | 16.8 | 26.7 | 29.0
| S/N(c) | 43.0 | 24.2 | 16.1
| SN(E/C) | 0.95
|
|
|
|
|
|
|
14980033
| 47
| | Red | Green | Blue
| z | | 19.02
| znorm | | 14.84
| sky | 14.7 | 14.5 | 14.5
| S/N | 15.6 | 24.9 | 26.8
| S/N(c) | 40.1 | 22.7 | 15.0
| SN(E/C) | 0.96
|
|
|
|
|
|
|