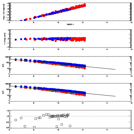
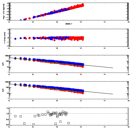
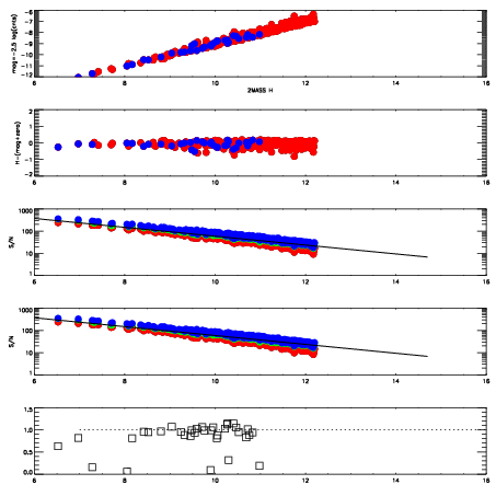
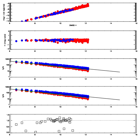
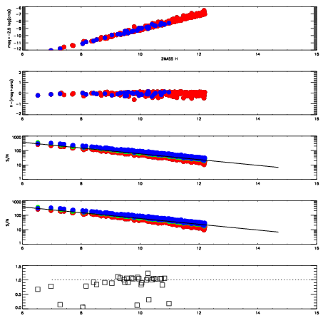
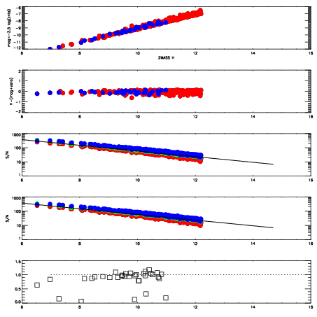
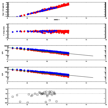
Frame | Nreads | Zeropoints | Mag plots
| Spatial mag deviation
| Spatial sky 16325A emission deviations (filled: sky, open: star)
| Spatial sky continuum emission
| Spatial sky telluric CO2 absorption deviations (filled: H < 10)
|
14950039
| 47
| | Red | Green | Blue
| z | | 19.11
| znorm | | 14.93
| sky | 14.8 | 14.3 | 14.6
| S/N | 16.9 | 27.2 | 29.6
| S/N(c) | 22.2 | 23.9 | 20.7
| SN(E/C) | 0.93
|
|
|
|
|
|
|
14950040
| 47
| | Red | Green | Blue
| z | | 19.11
| znorm | | 14.93
| sky | 14.9 | 14.6 | 14.7
| S/N | 16.6 | 27.2 | 29.4
| S/N(c) | 21.9 | 23.7 | 20.6
| SN(E/C) | 0.98
|
|
|
|
|
|
|
14950041
| 47
| | Red | Green | Blue
| z | | 19.15
| znorm | | 14.97
| sky | 14.9 | 14.7 | 14.8
| S/N | 17.1 | 27.8 | 30.1
| S/N(c) | 22.5 | 24.3 | 21.1
| SN(E/C) | 0.99
|
|
|
|
|
|
|
14950042
| 47
| | Red | Green | Blue
| z | | 19.12
| znorm | | 14.94
| sky | 14.9 | 14.6 | 14.8
| S/N | 16.5 | 27.5 | 29.4
| S/N(c) | 22.0 | 23.9 | 20.7
| SN(E/C) | 0.92
|
|
|
|
|
|
|
14950043
| 47
| | Red | Green | Blue
| z | | 19.07
| znorm | | 14.89
| sky | 14.9 | 14.8 | 14.8
| S/N | 15.7 | 26.6 | 28.7
| S/N(c) | 21.2 | 23.4 | 20.2
| SN(E/C) | 0.97
|
|
|
|
|
|
|
14950044
| 47
| | Red | Green | Blue
| z | | 19.12
| znorm | | 14.94
| sky | 14.8 | 14.6 | 14.8
| S/N | 16.3 | 26.7 | 29.2
| S/N(c) | 21.9 | 23.9 | 20.6
| SN(E/C) | 0.96
|
|
|
|
|
|
|
14950045
| 47
| | Red | Green | Blue
| z | | 19.08
| znorm | | 14.90
| sky | 15.0 | 14.8 | 14.8
| S/N | 15.8 | 26.3 | 28.4
| S/N(c) | 21.1 | 23.5 | 20.2
| SN(E/C) | 0.95
|
|
|
|
|
|
|
14950046
| 47
| | Red | Green | Blue
| z | | 19.04
| znorm | | 14.86
| sky | 14.8 | 14.7 | 14.7
| S/N | 15.6 | 26.0 | 27.0
| S/N(c) | 20.5 | 22.9 | 19.7
| SN(E/C) | 0.98
|
|
|
|
|
|
|