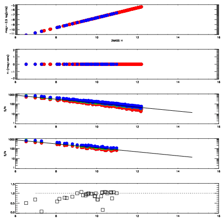
Left plots: red are targets, blue are telluric. Observed mags are calculated from median value of green chip. Zeropoint gives overall throughput: bigger number is more throughput.
First spatial plots: circles are objects, squares are tellurics, crosses are sky fibers. Colors give deviation of observed mag from expected 2MASS mag using the median zeropoint; red is brighter
Second spatial plots: circles are sky fibers. Colors give sky line brightness relative to plate median sky line brightness
FrameNreadsZeropointsMag plots Spatial mag deviation Spatial sky 16325A emission deviations (filled: sky, open: star) Spatial sky continuum emission Spatial sky telluric CO2 absorption deviations (filled: H < 10)
0 0
RedGreenBlue
z17.64
znorm Inf
sky -Inf -Inf -NaN
S/N 29.0 50.1 54.0
S/N(c) 0.0 0.0 0.0
SN(E/C) 0.94

IPAIRNAMESHIFTNEWSHIFTS/N NAMESHIFTNEWSHIFTS/N
0 14950040 0.497282 0.00000 19.1013 14950043 -0.000517785 0.497800 19.0668
1 14950041 0.497100 0.000182003 19.1471 14950042 -0.000782338 0.498064 19.1131
2 14950044 0.495973 0.00130901 19.1118 14950039 0.00000 0.497282 19.1015
3 14950045 0.496367 0.000914991 19.0668 14950046 -0.000988603 0.498271 19.0243